一、 概念介绍
TRUNCATE语句可以快速且高效的删除表中的所有行。TRUNCATE语句只生成少量redo信息,并立即提交,是一个DDL语句且不能回滚。(Oracle 官方文档定义) 。
当使用truncate语句误删除业务表时,首选使用备份集恢复,再没有可用备份集时建议及时将表空间read only避免数据块被覆盖,然后选择data unload或bbed工具进行恢复。
本文主要使用10046 event、Oracle dump、自研工具多角度分析,深入解析“到底truncate做了哪些变更操作”?。
二、 ASSM offset解释
Segment header offset解释:

图1 Segment header offset解释
L2 bmb offset解释:

图2 L2 bmb offset解释
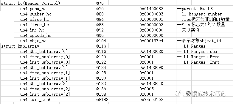
L1 bmb offset解释:

图3 L1 bmb offset解释
三、 环境准备
create tablespace hsql datafile '/oradata/epmsn/hsql01.dbf'size 100M autoextend off;
create table hsql.trunc_10(c_char1 char(10),c_char2 char(10))tablespace hsql;
begin
for i in 1 .. 10000 loop
insert into hsql.trunc_10 values(i,'orastar');
end loop;
commit;
end;
/
alter system flush shared_pool;
alter system flush shared_pool;
alter system flush buffer_cache;
alter system flush buffer_cache;
select * from hsql.TRUNC_10;
set linesize 200 pagesize 200
col owner for a10
col segment_name for a10
select owner,segment_name,header_file,header_block,SEGMENT_TYPEfrom dba_segments where segment_name='TRUNC_10';
OWNER SEGMENT_NA HEADER_FILE HEADER_BLOCKSEGMENT_TYPE
---------- ---------- ----------- ------------------------------
HSQL TRUNC_10 5 130 TABLE
SQL> set line 200
select owner,object_name,OBJECT_ID,DATA_OBJECT_ID fromdba_objects where object_name='TRUNC_10';SQL>
OWNER OBJECT_NAME OBJECT_ID DATA_OBJECT_ID
---------- ------------------------------------
HSQL TRUNC_10 88036 88036
***dump段头块信息
alter sessionset tracefile_identifier='orastar_hdrseg_before_trunc_10';
oradebugsetmypid
alter systemdump datafile 5 block 130;
oradebugclose_trace
oradebugtracefile_name
输出结果:/u01/app/oracle/diag/rdbms/epmsn/epmsn/trace/epmsn_ora_105404_orastar_hdrseg_before_trunc_10.trc
******truncate操作
oradebug setmypid
oradebug event 10046 trace name context forever,level 12
truncate table hsql.trunc_10;
oradebug event 10046 trace name context off
oradebug tracefile_name
四、 工具对比
Segment header:


图4 Segment header变更对比
说明:
蓝底:变更字段,经测试bbed可以不恢复
红底:变更字段,经测试bbed必须恢复
segment header变更信息:extents、blocks、ext、blk_ech、extsize_ech、hw、lhwmext、lhwmblk、lhwmextsize、lhwm、lhwmbmb1、hhwmbmb1、lastBMB1、mhext_echo、mhobj_ech、Extent Map(只保留第一个)、AuxillaryMap(只保留第一个)
L2 BMB变更对比:

图5 L2 BMB变更对比
L2 变更信息为:number、ffree、inc、opcode、objd。
L1 BMB 变更对比:(请重视第1个L1,变更信息必须恢复)--!!!!只有一个标深红的信息

图6 L1 BMB变更对比
L1 变更信息为:unformatted_bmb1、total_bmb1、nranges_bmb1、ffd_bmb1、objd_bmb1、deascnbas_bmb1
五、 10046 event
******分析10046日志变更情况
egrep -i -n '^update|^delete|^insert'/u01/app/oracle/diag/rdbms/epmsn/epmsn/trace/epmsn_ora_105665.trc
[oracle@sourcedb trace]$ egrep -i -n'^update|^delete|^insert' u01/app/oracle/diag/rdbms/epmsn/epmsn/trace/epmsn_ora_105665.trc
7135:update sys.mon_mods$ set inserts =inserts + :ins, updates = updates + :upd, deletes = deletes + :del, flags =(decode(bitand(flags, :flag), :flag, flags, flags + :flag)), drop_segments =drop_segments + :dropseg, timestamp = :time where obj# = :objn
7343:delete from superobj$ where subobj# =:1
7620:delete from tab_stats$ where obj#=:1
7826:update tab$ setts#=:2,file#=:3,block#=:4,bobj#=decode(:5,0,null,:5),tab#=decode(:6,0,null,:6),intcols=:7,kernelcols=:8,clucols=decode(:9,0,null,:9),audit$=:10,flags=:11,pctfree$=:12,pctused$=:13,initrans=:14,maxtrans=:15,rowcnt=:16,blkcnt=:17,empcnt=:18,avgspc=:19,chncnt=:20,avgrln=:21,analyzetime=:22,samplesize=:23,cols=:24,property=:25,degree=decode(:26,1,null,:26),instances=decode(:27,1,null,:27),dataobj#=:28,avgspc_flb=:29,flbcnt=:30,trigflag=:31,spare1=:32,spare2=decode(:33,0,null,:33),spare4=:34,spare6=:35where obj#=:1
8276:update seg$ settype#=:4,blocks=:5,extents=:6,minexts=:7,maxexts=:8,extsize=:9,extpct=:10,user#=:11,iniexts=:12,lists=decode(:13,65535, NULL, :13),groups=decode(:14, 65535, NULL, :14), cachehint=:15,hwmincr=:16, spare1=DECODE(:17,0,NULL,:17),scanhint=:18, bitmapranges=:19 wherets#=:1 and file#=:2 and block#=:3
8388:update obj$ set obj#=:4,type#=:5,ctime=:6,mtime=:7,stime=:8,status=:9,dataobj#=:10,flags=:11,oid$=:12,spare1=:13,spare2=:14 where owner#=:1 and name=:2 and namespace=:3 and remoteowner is nulland linkname is null and subname is null
[oracle@sourcedb trace]$
10046 event 变更信息:
update sys.mon_mods$ --监控table变更
delete from superobj$
delete from tab_stats$ --删除统计信息
update tab$ --变更dataobj#,必须恢复
update seg$ --变更hwmincr(==object_id)
update obj$ --变更dataobj#,必须恢复
六、 Oracle redo dump
******分析redo日志变更情况

图7 new object number in redo log
变更说明:
new object number: dataobj#的变更信息

图8 HWM change in redo log
变更说明:
new object number: dataobj#的变更信息
Low HWM信息变更
High HWM信息变更

图9 Extent Map change in redo log
变更说明:
删除Extent Map、AuxillaryMap

图10 Extent Map change 倒序
变更说明:
以倒序方式删除Extent Map、AuxillaryMap
七、 Oracle dump 操作前后对比
该步骤通过Oracle dump工具对操作前后的segment header内容进行对比,验证上面的结果。


图11 Oracle dump变更对比
八、 总结
Oracle truncate操作到底变更了哪些信息,如下表所示,
图12 truncate操作变更信息汇总
truncate恢复过程,请见下回分解。
九、 说明
1、以上内容为个人多次测试结果,由于个人原因,如有分析不足之处还请见谅及指正。
2、文章涉及内容,请勿在生产环境模拟。

纸上得来终觉浅,绝知此事要躬行。--陆游
感谢您的阅读,如果您觉得有所收获,也欢迎把文章分享给您的朋友。

长按识别二维码关注我们




