智能交易区块链solidity语言编写二叉平衡搜索树(AVL-tree)
AVL 树的难点在于四种旋转,solidity的难点在于此语言不存在指针,只能用mappping和下标来充当指针的形式。这对于树的创建增加了难度。
四种旋转
(1) LL:LeftLeft,也称为"左左"。插入或删除一个节点后,根节点的左子树的左子树还有非空子节点,导致"根的左子树的高度"比"根的右子树的高度"大2,导致AVL树失去了平衡。
(2) LR:LeftRight,也称为"左右"。插入或删除一个节点后,根节点的左子树的右子树还有非空子节点,导致"根的左子树的高度"比"根的右子树的高度"大2,导致AVL树失去了平衡。
(3) RL:RightLeft,称为"右左"。插入或删除一个节点后,根节点的右子树的左子树还有非空子节点,导致"根的右子树的高度"比"根的左子树的高度"大2,导致AVL树失去了平衡。
(4) RR:RightRight,称为"右右"。插入或删除一个节点后,根节点的右子树的右子树还有非空子节点,导致"根的右子树的高度"比"根的左子树的高度"大2,导致AVL树失去了平衡。
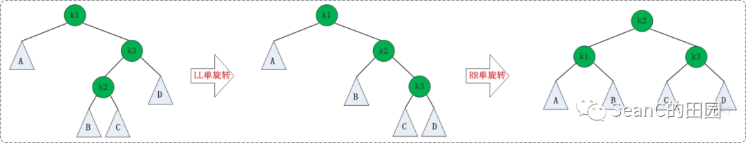
LL 的旋转
图中左边是旋转之前的树,右边是旋转之后的树。从中可以发现,旋转之后的树又变成了AVL树,而且该旋转只需要一次即可完成。对于LL旋转,你可以这样理解为:LL旋转是围绕"失去平衡的AVL根节点"进行的,也就是节点k2;而且由于是LL情况,即左左情况,就用手抓着"左孩子,即k1"使劲摇。将k1变成根节点,k2变成k1的右子树,"k1的右子树"变成"k2的左子树"。
RR的旋转
图中左边是旋转之前的树,右边是旋转之后的树。RR旋转也只需要一次即可完成。
LR的旋转
第一次旋转是围绕"k1"进行的"RR旋转",第二次是围绕"k3"进行的"LL旋转"。
RL的旋转
第一次旋转是围绕"k3"进行的"LL旋转",第二次是围绕"k1"进行的"RR旋转"。
目前只需要考虑AVL树插入的代码,搜索代码实现十分简单
pragma solidity ^0.4.0;
contract test{
struct node{
uint key;
uint left;
uint right;
uint height;
}
mapping(uint => node) nodes;
uint root=0;
function height(uint n)public returns (uint r){
if(n == 0){
return 0;
}else{
return nodes[n].height;
}
}
function max(uint a,uint b)public returns(uint r){
if(a > b)
return a;
else
return b;
}
function leftleftrotation(uint k2) public returns(uint r){
uint k1;
k1 = nodes[k2].left;
nodes[k2].left = nodes[k1].right;
nodes[k1].right = k2;
nodes[k2].height = max(height(nodes[k2].left),height(nodes[k2].right))+1;
nodes[k1].height = max(height(nodes[k1].left),height(nodes[k1].right))+1;
return k1;
}
function rightrightrotation(uint k1)public returns(uint r){
uint k2;
k2 = nodes[k1].right;
nodes[k1].right = nodes[k2].left;
nodes[k2].left = k1;
nodes[k1].height = max(height(nodes[k1].left),height(nodes[k1].right))+1;
nodes[k2].height = max(height(nodes[k2].right),height(nodes[k2].left))+1;
return k2;
}
function leftrightrotation(uint k3)public returns(uint r){
nodes[k3].left = rightrightrotation(nodes[k3].left);
return leftleftrotation(k3);
}
function rightleftrotation(uint k1)public returns(uint r){
nodes[k1].right = leftleftrotation(nodes[k1].right);
return rightrightrotation(k1);
}
function _insert(uint n,uint key)internal returns(uint r){
if(n==0){
n = key;
nodes[n] = node(key,0,0,0);
}
else{
if(key < nodes[n].key){
nodes[n].left = _insert(nodes[n].left,key);
if(height(nodes[n].left)-height(nodes[n].right)==2){
if(key < nodes[nodes[n].left].key){
n = leftleftrotation(n);
}else{
n = leftrightrotation(n);
}
}
}
else if(key > nodes[n].key){
nodes[n].right = _insert(nodes[n].right,key);
if(height(nodes[n].right)-height(nodes[n].left)==2){
if(key > nodes[nodes[n].right].key){
n = rightrightrotation(n);
}else{
n = rightleftrotation(n);
}
}
}
}
nodes[n].height = max(height(nodes[n].left),height(nodes[n].right))+1;
return n;
}
function insert(uint key)public returns(uint r){
root = _insert(root,key);
return root;
}
function insertlist(uint[] keys)public{
for(uint i=0;i<keys.length;i++){
root = _insert(root,keys[i]);
}
}
}




