DSE精选文章
深度强化学习的动态索引构建
Dynamic Index Construction with Deep Reinforcement Learning
文章介绍
随着人工智能的快速发展,数据库领域也越来越多的采用深度神经网络和强化学习模型来优化查询性能、调节各种参数。在数据库性能优化领域中,一个标志性且关键的问题是索引结构的构建。对于该问题,先前的工作大多使用机器学习模型来完全替换传统的索引结构,如B-树和哈希表。这种策略极大提升了查询性能,但它们普遍放弃了索引的语义信息,并且更新代价更高,在某些场景下也会遭受性能损失。对此,本文提出了如图1所示的神经索引搜索框架(NIS,Neural Index Search)。该框架的核心是训练强化学习模型搜索策略以在现有索引结构上找到接近性能最优的结构组合,以及每个索引结构相关联的最优配置参数。与纯学习方法相比,NIS具有传统索引结构带来的优势,并进一步地提高了任何新型组合索引结构的性能。该论文在已有工作基础上的主要贡献如下:

图1. NIS的整体框架
(1)本文提出了一个新型的索引结构构建方案,针对给定数据集和查询集合,动态生成索引结构以取代最优查询性能。
(2)本文引入以RNN为主干的强化学习模型来动态地搭建索引树形结构,并为每个树节点选择合适的参数,新的索引将部署到数据库系统内并处理相关查询以获得反馈奖励。
(3)针对数据动态更新的问题,本文开发了一个渐进式的学习过程,根据数据分布动态的调整索引的结构,以保证最优性能。
(4)本文在多个数据集中进行验证,对比以机器学习模型为索引的RMI,结果表明NIS生成的索引性能优于RMI。
实验效果
本文使用两台具有相同硬件配置的服务器(Xeon CPU 32 核、64GB DRAM、2MB L2 和 20MB L3 以及 NVIDIA GTX TITANX)。一台服务器专用于控制器的训练过程,另一台用于索引物化和性能评估。本文使用四个数据集进行测试:合成统一数据集(uniform64)和三个真实数据集(amzn,facebook,osmc)。所有数据集都有2亿个键值对。
为了比较,本文使用了 -Tree、SkipList、ART、FAST、Bw-Tree、Learned Index(RMI)和PGM作为基线。所有索引都是内存索引并且不涉及磁盘I/O。


图2. 仅查找工作负载的性能
图2展示了仅查找工作负载下的不同方法在不同数据集上的性能,y轴表示查询的平均处理成本(以纳秒为单位)。在本实验中将NIS与其他基线进行比较,按照数据分布均匀生成1000万个单键查找查询,即对高密度数据范围有更多的查询。从图2中观察到,uniform64是一个具有均匀分布的合成数据集,更容易用神经模型进行模拟。因此,RMI在uniform64上表现最好,其次是NIS。原因是NIS仍然保持传统索引的结构,产生额外的开销,而RMI通过采用新的索引设计更加灵活。osmc、amzn和facebook是三个不同的真实数据集。由于分布复杂,RMI很难对数据进行精确建模,尤其是对于最复杂的数据集osmc64。所以RMI的性能可能不如一些基线索引。相反,NIS能够学习给定数据集和工作负载分布的最佳索引架构。

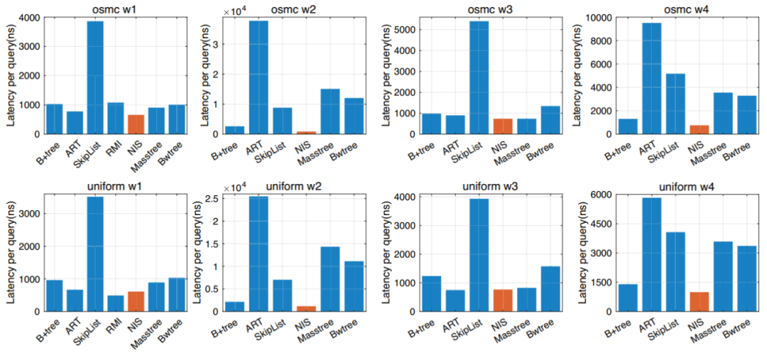
图3. 混合工作负载的实验结果
图3展示了混合工作负载的实验结果。在这个实验中,本文关注两个数据集,osmc和uniform,并生成四个不同的工作负载。W1表示在之前的实验中使用的工作负载(1000万个查找查询)。W2包含100万个范围查询,选择性为0.1%。W3混合了500万次查找和500万次插入。W4混合了200万次查找、200万次插入和100万次范围查询(选择性=0.1%)。本文以纳秒为单位显示平均查询处理成本。RMI仅在W1和W2中显示,因为当前的开源RMI实现不支持更新。可以观察到,对于范围工作负载和混合工作负载,NIS在统一数据集和真实数据集上表现出优于其他指标的性能。

图4. 鲁棒性和增量学习的实验结果
图4展示了使用增量学习技术定期更新索引结构的实验结果。这个实验评估了索引在不同分布场景下的鲁棒性。有四种情况:(a)数据集和工作负载分布均保持不变;(b)数据集分布发生变化,而工作量分布保持不变;(c)数据集和工作量分布的变化;(d)数据集分布保持不变,而工作负载分布发生变化。图4显示了场景 (a)到 (d)的结果。可以观察到,当分布发生显着变化时,索引表现也会受到影响。与数据分布相比,工作负载分布的变化对性能的影响更为严重,而增量学习可以部分解决问题。

图5. 增量学习在工作负载发生巨大变化时的表现
图5展示了增量学习在工作负载发生巨大变化时的表现。本文定义一个数据集,从osmc64和9个不同工作负载中随机采样的5000万个键,每个工作负载包含1000万次查找和1000万次插入,并遵循具有不同中心的log-正态分布。由于大量的插入,数据大小急剧增长,分布也是极具变化。NIS每10秒调用一次增量学习来更新索引,可以看到新的索引结构可以提供更好的性能,直到下一个工作负载开始。
结语
作者简介
期刊简介












