之前我们已经分享过一期关于GENT2数据库的推文了。
今天我来继续。
数据链接:http://gent2.appex.kr/gent2/

今天我们分享他第二个模块的内容,
第二个模块我反而觉得用到的概率更大一点,

点击进去后发现他能做这几个图。
A图是在不同的亚组之间的表达差异情况。
B图第一个是说他在不同亚组之间的预后情况,
B图第二个是说他在不同的表达水平之间的预后情况,

进入后组织这一栏中可以选择自己需要研究的组织。
有些组织他的数据比较全,有些组织的数据不全,可能做不了预后分析,
今天,我们选一个比较全的

第二个亚型这里,我们可以选择根据疾病分型,根据亚型分型,或者根据分期分型,自己根据论文需要自己选择。

预后这一栏,我们可以选择自己要研究的预后类型。三种常见的都在这里了。
选择完以后,输入我们要研究的基因后,点击检索就能到结果界面了。
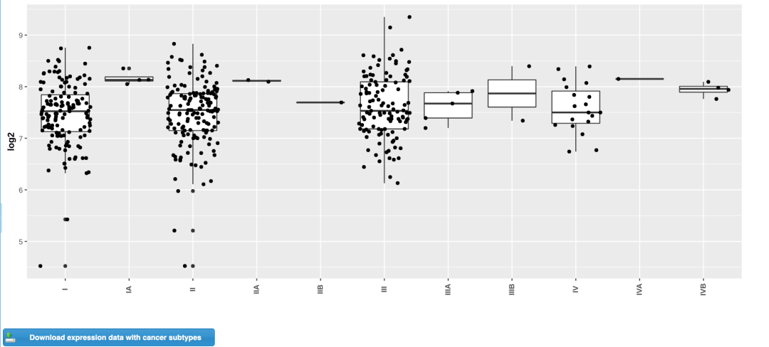
第一个图:

不同分期的表达水平差异。同样可以下载数据来自己作图。
p值在下面

下面就是预后分析图
亚型分组的预后分析没有图,有些是有的,有些没有
不同表达水平的图有,

文章转载自随心随性随想随写,如果涉嫌侵权,请发送邮件至:contact@modb.pro进行举报,并提供相关证据,一经查实,墨天轮将立刻删除相关内容。




