欢迎关注「WeiyiGeek」公众号
点击 👇 下方卡片 即可关注我哟!
设为「星标⭐」每天带你 基础入门 到 进阶实践 再到 放弃学习!
涉及 网络安全运维、应用开发、物联网IOT、学习路径 、个人感悟 等知识
偷偷的告诉你哟?【极客全栈修炼】微信小程序已经上线了,
你可以直接在微信里面直接浏览博主博客了哟,后续将上线更多有趣的功能。
本章目录:
第 2 部分 数据的表示和运算
2.数字系统
2.1 位置化系统
2.2 进制系统转换
2.3 非位置化数字系统
计算机科学导论学习笔记
前言:当前作为一名IT互联网从业者,计算机技术日新月异,每天都有新概念、新技术的出现,而像我这样的万金油来说,越学到后面就越吃力,遇到瓶颈问题也随之增多,因为本身非科班出身,加之半路出家,针对于计算机基础知识掌握不牢或者说是不完整,所以我痛定思痛,下定决心重新学习计算机相关基础知识,从计算机科学导论,到计算机组成原理,到计算机网络、到操作系统,到数据结构,到程序算法、到应用开发、到安全运维开发。
今天 (2022年9月1日) 便从大神之路-起始篇
,我们要站在巨人们的肩膀上,进行计算机科学导论
的 学习,我将总结学习成果笔记,帮助后续入门学习的朋友。
随着现代计算机的发明,带来了新的学科,即计算机科学(简称计科
)一词上一个非常广泛的概念,在此处我没将其定义为计算机相关的问题
,现在计算机科学
被划分成几个领域,总结归纳为两大类系统领域
和应用领域
.
系统领域:涵盖那些与硬件和软件构成直接有关的领域,例如计算机体系结构、计算机网络、安全问题、操作系统、算法、程序设计语言以及软件工程。
应用领域:涵盖了与计算机使用有关的领域,例如数据库、云物联和人工智能。
参考书籍:【计算机科学导论-第三版 (Foundations Of Computer Science - Third Edition) 】作者:[美] 贝赫鲁兹.佛罗赞 (Behrouz Forouzan)
PS: 当下已经出第四版了(推荐)
参考视频:【计算机导论】计算机科学导论(大神之路-起始篇)- https://www.bilibili.com/video/BV13V41117xc
第 2 部分 数据的表示和运算
描述:该部分包括第2、3和4章,我们分别进行如下学习。
第2章讨论了数字系统,数量如何能使用符号来表示。
第3章讨论了不同的数据如何存储在计算机中。
第4章讨论了一些基本的算术运算与位(逻辑)运算。
2.数字系统
什么是数字系统?
用独特的符号(数码)来表示 一个数字 , 在不同的系统中,一个数字有不同的表示方法,使用有限的数字符号来表示数字,所以数码需要重复使用。
例如,(2A)16和(52)8都是指同样的数量(42)10,但是他们的表示截然不同。
常见的数字系统,阿拉伯数字系统 (0-9),罗马数字系统 (I I I I I I IV V VI VII .....).
数字系统分类:主要分为两类分部是位置化系统(主要讲解)
和非位置化系统(简单提及)
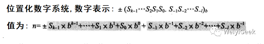
2.1 位置化系统
在位置化数字系统中,数字中符号所占据的位置决定了其表示的值。

其中,S是一套符号集,b是底(或基数)等于S符号集中的符号总数,其中S1和Sk是代表分数部分或整个数字的符号,+、- 表示数字为正或者负。
2.2 进制系统转换
描述:计算机由于其组成由成千上万个晶体管组成,通过其开/关
完成或记录各项操作,则计算机只能识别 0 和 1,所以计算机底层识别通常是二进制的数据。
所以在讨论学习位置化数字系统前,我们需要针对各进制系统的表示与转换做一个学习(此基础知识非常重要)
(1) R 进制系统的表示 (R 可为 二、八、十、十六)
描述:即在计算机数字系统常用进制系统是二进制 (Binary)、八进制(Octal)、十进制(Decimal)、十六进制(Hexadecimal)
,其原则为逢R进一。
二进制(Binary):源于拉丁词根bini(二),它只有 0 和 1 两个数表示,常用下标2或者B表示,例如:数值 3 的二进制表示为 (11)2 或者
11B
,计算机中数据通常是以二进制模式(串)存储与计算机中执行.八进制(Octal):源于拉丁词octo (八),由 0 ~ 7 八个数表示,常用下标8或者O表示,例如:数值 8 的八进制表示为 (10)8 或者
10O
.十进制(Decimal):源于拉丁词 decem (十) ,由 0 ~ 9 十个数表示,常用下标10或D表示,例如:数值 10 的十进制表示为 (10)10 或者
10D
,该进制适合人类阅读理解.十六进制(Hexadecimal):源于希腊词根hex (六) 和 decem(十),由 0 ~ 9 A ~ E (分别等于 10~15) 十六个数表示,常用下标10或H表示,例如:数值 30 的十进制表示为 (1E)16 或者
1EH
。

此处以人类方便理解的十进制系统(以10为底)
为例,进行讲解在整数、位置量、最大值、实数、
相关概念
整数:即没有小数部分的整型数字。
位置量:即用底(或者基数)的幂运算进行表示。例如,10的幂(10^0 , 10^1 , ~ , 10^(k-1))
最大值:即使用数字K来表示十进制整数的最大值位数。例如,当k为5位时,其Nmax = 105 - 1 = 99 999
实数:即小数点后的部分数字,在十进制中小数点(
.
)是用于分割整数和小数部分的。

十进制系统(以10为底)示例演示:
# 1.在十进制系统中,为了简便通常省略括号、底、以及正号(对于正数),例如 +(1024.1024)10, 写成 1024.1024 即可底号与加号是隐含的。# 2.位置量,例如在十进制系统中使用位置量表示整数 +256.位置量 10^2 10^1 10^0数字 2 5 6N =+ 2*10^2 + 5*10^1 + 6*10^0 (值为256)# 例如,在十进制系统中使用位置量表示整数 -1024.位置量 10^3 10^2 10^1 10^0数字 1 0 2 4N =- (1*10^3 + 0*10^2 + 2*10^1 + 4*10^0) (值为-1024)# 3.最大值,当k为数码数量为3时,其十进制系统整数最大值为 999Nmax = 10^3 - 1 = 999# 4.实数, 显示实数 +10.24 的位置量位置量 10^1 10^0 10^-1 10^-2数字 1 0 . 2 4N =- 1*10^1 + 0*10^0 . 2*10^-1 + 4*10^-2 (值为10.24)
为了方便比较,此处再以计算机常用的二进制系统(以2为底)进行整数与实数进行讲解,可以如下图所示中得到计算的相关表达式,相比较于十进制只是将基数进行改变了,所以说八进制与十六进制的计算便不展开说明了。

二进制系统(以2为底)示例演示:
# 1.位置量,例如在二进制系统数(1111)2等值于十进制数15.位置量 2^3 2^2 2^1 2^0数字 1 1 1 1N =+ 1*8 + 1*4 + 1*2 + 1*1 (相加十进制值为15)# 2.最大值,当k为数码数量为4时,其二进制系统整数最大值为 15Nmax = 2^4 - 1 = 16 - 1 = 15# 3.实数, 例如以下计算机与十进制5.75等值的二进制数(101.11)2位置量 2^2 2^1 2^0 2^-1 2^-2数字 1 0 1 . 1 1R =+ 1*2^2 + 0*2^1 + 1*2^0 . 2*2^-1 + 2*2^-2R =+ 4 + 0 + 1 . 0.5 + 0.25 (值为5.75)
温馨提示: 计算机存储正负数的方式是不同的。(后续会有介绍)
(2) R 进制间相互转换
最常用的方式就是按权展开
或者是 8421码
快速进行进制的转换。
例如,将 (123)10 以按权方式展开。
123 = 100 + 20 + 3 = 1 * 10^2 + 2 * 10^1 + 3 * 10^0 (系数 * 基数 ^ 权) 相加即可- 系数:每一位上的数据- 基数(底):X进制基数就是X,此的基数为 10- 权:按从又右到左的顺序,从0开始编号,对应位上编号即为该位的权.
2.1) 任意进制转换为十进制
其它进制转换为十进制是简单而迅速的,将数码乘以其在源系统中的位置量并求和便得到十进制中的数.

示例演示:
# 1.将二进制数(110.11)2 转换为十进制数 6.75。二进制 1 1 0 . 1 1位置量 2^2 2^1 2^0 2^-1 2^-2N = 1*4 + 1*2 + 0*1 . 0.5 + 0.25 = 6.75# 2.将八进制数(23.17)8转换为十进制数约 19.234八进制 2 3 . 1 7位置量 8^1 8^0 . 8^-1 8^-2N = 2*8^1 + 3*8^0 . 1/8 + 7/16 ≈ 19.234# 3.将十六进制(1A.23)转换为十进制数约 26.137十六进制 1 A . 2 3位置量 16^1 16^0 . 16^-1 16^-2N = 1*16^1 + 10*16^0 . 2*16^-1 + 3*16^-2N = 16 + 10 . 1/8 + 3/256 ≈ 26.137
2.2 十进制转换为其他进制
将十进制转换到其他等值的其他进制,需要两个过程即整数部分
和小数部分
。

整数部分:在进行整数部分的转换可使用连除法。
例如,将 (58)10 转换为二进制的方法,此处采用除积倒取余
(连除)法(也适于八进制、十六转换只是将连除的除数为基数),进行连除以2得到商和余数,当然日常使用8421码更为简单与二进制互换,此处主要讲解的是方式方法而已。
58 % 2 = 0 # 最低位29 % 2 = 114 % 2 = 07 % 2 = 13 % 2 = 11 % 2 = 1 # 最高位 (有效位)0二进制的表示为 :11 1010 (从下往上) ,而在八位寄存器通常表示为 0011 1010
小数部分:在进行小数部分的转换可使用连乘法,此处需要非常注意某些考试常常考带小数的转换。
# 1.将十进制的0.625转为二进制数结果为(0.101)2 ,注:此处由于没有整数部分,所以只演示小数部分# 这里以2为底,将小数连乘以2并记录整数和小数部分,小数部分移到右边,而整数部分分别写在每次运算的下面,直到小小数部分为0,或者达到足够位数时结束。十进制 0.625 *2 0.25(取小数部分)*2 0.50*2 0.00(连乘截止)连乘结果 1.25 0.50 1.00二进制 1(取整数部分) 0 1 结果: (0.101)2# 2.将十进制0.634转换为八进制且精确到4位小数。结果为 (0.5044)8十进制 0.634*8 0.072*8 0.576*8 0.608*8 0.864(只取四位连乘截止)连乘结果 5.072 0.576 4.608 4.864八进制 5 0 4 4 结果: (0.5044)8# 3.将十进制数178.6转换为十六进制且精确到1位小数,结果为十进制 0 11 178 . 0.6*16连除.连乘结果 11/16 178/16 . 9.6十六进制 B 2(余数) . 9 结果: (B2.9)16
快速将十进制(通常小于256)为二进制数间的互相转换方法。
例如,将 (111010)2 转换为十进制的方法(位权 与 8421码),将展开的位权进行相加,其结果为 32 + 16 + 8 + 2 = (58)10,应用此方法可以快速进行 十进制与二进制间的互换
描述: 上一个示例中讲解位权使用方法,这里在再讲讲8421码是BCD代码中最常用得一种,常用于二进制转十进制,此种编码方式中每一位二进制代码的1都是代表一个固定数值,把每一位1代表的十进制数加起来,所得的结果就是十进制。
| 二进制(八位寄存器) | 0 | 0 | 1 | 1 | 1 | 0 | 1 | 0 |
|---|---|---|---|---|---|---|---|---|
| 位权(位置量) | 2^7 | 2^6 | 2^5 | 2^4 | 2^3 | 2^2 | 2^1 | 2^0 |
| 按位权展开 | 0*(2^7) | 0*(2^6) | 1*(2^5) | 1*(2^4) | 1*(2^3) | 0*(2^2) | 1*(2^1) | 0*(2^0) |
| 8 4 2 1 码 | 0*128 | 0*64 | 32 | 16 | 8 | 0*4 | 2 | 0*1 |
例如,当分母是2的幂次时,用类似方法将十进制小数转为二进制数,计算机十进制数 27 64 转为二进制,其结果为 (0.011011)2。
| 位权(位置量) | 2^-1 | 2^-2 | 2^-3 | 2^-4 | 2^5 | 2^6 | 2^-7 | 2^-8 |
|---|---|---|---|---|---|---|---|---|
| 按位权展开(十进制对等) | 1/2 | 1/4 | 1/8 | 1/16 | 1/32 | 1/64 | 1/128 | 1/256 |
| 十进制 27 64 | 0 | 16/64 | 8/64 | 0 | 2/64 | 1/64 | 0 | 0 |
| 计算结果 | 0 | 1/4 | 1/8 | 0 | 1/32 | 1/64 | 0 | 0 |
| 转换结果 | 0 | 1 | 1 | 0 | 1 | 1 | 0 | 0 |
由上表可知,根据十进制对等的值排列这些分数,由于1/2 与 1/16缺失,我们使用了0代替,所以其二进制结果为 (0.011011)2
2.3 二进制转八进制、十六进制
我们能轻松将数字从二进制转换到八进制,反之亦然。这是因为在这两个底之间存在一种关系:二进制中的3位恰好是八进制中的1位。
例如,将(111010)2 转换为八进制方法:从右往左起每逢三位二进制转1位八进制,当不足三位的在最左边添0补齐,反之八转二,每一位八进制转换为三位二进制位表示,其结果为(72)8。
# 将(111010)划分位三位一组
111 010
7 2
# 结果为 (72)O
我们能轻松将数字从二进制转换到十六进制,反之亦然。这是因为在这两个底之间存在一种关系:二进制中的4位恰好是十六进制中的1位。
例如,将(111010)2 转换为十六进制方法:从右往左起每逢四位二进制转1位十六进制,当不足四位的在最左边添0补齐,反之十六转二,每一位十六进制转换为四位二进制位表示,其结果为(31)16。
# 将(111010)划分位四位一组不足以0想做向左补齐
0011 1010
3 A
# 结果为 (3A)H
温馨提示:如果需要将数字从八进制转换到十六进制,我们可以使用二进制系统作为临时中介系统。
2.4 数码的数量
在进行十进制转换为其他系统进制时我们可能需要知道数码的数量,我们可以通过 k=logbN 的关系(k 是以b为底N的对数,N = b^k)进行计算,其 中b为基数(底数)、N为该数值的整数的十进制。
例如,我可以找到十进制数 234 转换为 2、8、10、16进制中所占的对应位数。
十进制 k= log10234 = 2.37 = 3 位数
二进制 k= log2234 = 7.8 = 8 位数,即 234 = (1110 1010)2
八进制 k= log8234 = 2.62 = 3 位数 ,即 234 = (352)8
十六进制 k= log16234 = 1.96 = 2 位数,即 234 = (EA)16
在从一个底装换为另外一个转换中,我们需要知道源系统数码
的最大数量(b1^k-1, 其中b1是源数码基数,使用k个数码),意味着目标系统拥有的最大数是( b2^x - 1 ,其中 b2是目标数码基数,使用x个数码来装载源系统的值),因此其关系是 b2^x - 1 ≥ b1^k-1 (b2^x ≥ b1^k ),其表达式为 x ≥ k * (logb1 logb2) 。
例如,找出二进制(目标数码)数码最小数,用于存储一个最大的6个数的十进制数(源目标数码)。
即k=6, b1=10, b2=2 , 即 x = 6 *(log10 log2) = 6 * ( 1 0.30103 ) = 20,即我们需要20位二进制数(1 048 575)来存放6位10进制数码最大值(999 999)。
2.3 非位置化数字系统
非位置化数字系统仍然是使用有限的数字符号,每个符号对应一个值,其所在的位置通常与其值无关,因为每个符号值都是固定的
。
为了求得该数字的值,可以把所有符号表示的值进行相加,但是需要遵循特定法则将符号值进行相加。
大值 ≥ 小值 ,其
大值在前,小值在后
是直接相加即可, 例如 VII = 5 + 1 + 1大值>小值 ,其
小值在前,大值在后
时用大值减去小值,例如 IV = 5 - 1当 S1 > 10 * S2,则符号S2不能在符号S1之前,例如 I 和 V 不能在C之前,因为 100 ≥ 10 * 1 以及 100 ≥ 10 * 5.
当在6种符号(除I以外的所有符号)中的任意一个上方加横杠表示乘以1000,如下图所示
在罗马数字在其系统中缺少码0,尽管罗马人适用单词nulla表示零的概念。

本文至此完毕。
原文地址: https://blog.weiyigeek.top
后续文章请访问,如下 #计算机大神之路-起始篇 合集!
亲,文章都看完了,不关注一下吗?点击 👆 卡片即可关注我哟!
学习书籍推荐
往期发布文章
大神之路-起始篇 | 第1章.计算机科学导论之【基础绪论】学习笔记
企业运维 | MySQL关系型数据库在Docker与Kubernetes容器环境中快速搭建部署主从实践
工具推荐 | 使用RedisInsight网页工具快速对Redis集群CURD操作及数据可视化和性能监控
【企业运维实践】丢弃手中的docker build ,使用Kaniko直接在K8S集群或Containerd环境构建推送容器镜像
扫一扫,即可进入【极客全栈修炼】微信小程序!

欢迎各位志同道合的朋友一起学习交流,如文章有误请在下方留下您宝贵的经验知识,个人邮箱地址 【master#weiyigeek.top 】或者个人公众号【 WeiyiGeek 】联系我。

更多文章来源于【WeiyiGeek Blog 个人博客】
为了能到远方,脚下的每一步都不能少!
个人主页: 【 https://weiyigeek.top】
博客地址: 【 https://blog.weiyigeek.top 】
学习交流群:【 https://weiyigeek.top/visit.html 】

更多网络安全、系统运维、应用开发、物联网实战、全栈文章,尽在【个人博客 - https://blog.weiyigeek.top 】站点,谢谢支持!

专栏书写不易,如果您觉得这个专栏还不错的,请给这篇专栏 【点个赞、投个币、收个藏、关个注,转个发,留个言】(人间六大情),这将对我的肯定,谢谢!
帅哥、美女、大佬们点个【赞+在看】吧! 👇
👇👇👇 点击下方【"阅读原文"】,即可获取更多有趣的知识!





