点击上方蓝色【数据攻略】关注+星标~
第一时间获取最新内容
)
【数据分析岗】大厂笔试真题系列(一)一、选择题
A、 2/5
B、 1/2
C、 1/5
D、 3/5
答案:D
[2] 有一堆石子,共80颗,甲,乙轮流从该堆中取石子,每次可以取2,4或者6颗,取得最后的石子的玩家为赢家,甲乙都足够聪明都想赢,若甲先取,则()
A、 其他说法都不正确
B、 甲乙都是50%几率获胜
C、 甲必胜
D、 乙必胜
答案:D
[3] x+y+z+m=10,其中x,y,z,m都是正整数,那么x,y,z,m有多少种不同的取值组合()
A、 84
B、 112
C、 165
D、 220
E、 64
答案:A
[4] 若总体X~N(µ,δ^2),其中δ^2已知,当样本容量保持不变时,如果置信度减小,则的置信区间( ).
A、 长度变大
B、 都有可能
C、 长度变小
D、 长度不变
答案:D
[5] 访问记录visit表中包含日期date,用户user_id,访问的页面url 3个字段,以下哪个选项不能计算'2019-03-11'这一天访问过页面的所有用户数()
A 、
SELECT count(DISTINCT user_id)FROM visitWHERE date = '2019-03-11'
B、
SELECT count(user_id)FROM visitWHERE date = '2019-03-11'GROUP BY date
C、
SELECT COUNT(user_id)FROM(SELECT user_idFROM visitWHERE date = '2019-03-11'GROUP BY user_id) f
D、
SELECT COUNT(user_id)FROM(SELECT DISTINCT user_idFROM visitWHERE date = '2019-03-11') f
答案:B
[6] 设随机变量X和Y都服从正态分布,且它们不相关,则( )
A、 X + Y服从一维正态分布
B、 (X, Y)服从二维正态分布
C、 X与Y未必独立
D、 X与Y一定独立
答案:C
[7] 小明在玩掷骰子的游戏,将一颗骰子掷了两次,两次骰子的点数之和为7,求其中一次掷到6点的概率 ( )
A、 1/12
B、 1/3
C、 1/18
D、 1/6
答案:B
[8] 一个盒子中有三个大小相同的球,这三个球可能是红和蓝两种颜色,并且一个球是红的还是蓝的是等可能的。已知其中有一个是红色的,那么至少有一个球是蓝色的概率是多少( )
A、 3/4
B、 7/8
C、 1/3
D、 6/7
答案:D
[9] 以下不是稳定的排序算法的是()
A、 插入排序
B、 归并排序
C、 冒泡排序
D、 快速排序
答案:D
[10] 设随机变量X和Y的相关系数为0.5,E(X) = E(Y) = 0, E(X^2) = E(Y^2) = 2, 则E[(X +Y)^2] = ( ).
A、 2
B、 8
C、 6
D、 4
答案:C
[11] 某电灯泡生产商声称,它们生产的电灯泡的平均使用时间为85小时。质检部门抽取20个电灯泡的随机样本,在的显著性水平下,检验结果是未能拒绝原假设,这意味着()
A、 该企业生产的电灯泡的平均使用时间是85小时
B、没有证据证明该企业生产的电灯泡的平均使用时间不是85小时
C、 没有证据证明该企业生产的电灯泡的平均使用时间是85小时
D、 该企业生产的电灯泡的平均使用时间不是85小时
答案:B
[12] 在10件产品中有五件是残次品,从中任取五件,求其中至少有两件是残次品的概率( )
A、 113/126
B、 4/5
C、 105/126
D、 1/12
答案:A
[13] 如下哪些sql语句能查询出每门课都都大于80分的学生姓名,部分数据如下表(student_score)所示:

A、
select distinct stu_namefrom student_scorewhere stu_name not in(select distinct stu_namefrom student_scorewhere score <= 80)
B、
select stu_namefrom student_scoregroup by sub_namehaving min(score) >80
C、
select distinct stu_namefrom student_scorewhere score >80
D、
select stu_namefrom student_scoregroup by stu_name having min(score) >80
答案:A
[14] 有无限多水源,一个4L无刻度桶和一个9L无刻度桶,只利用这2个无刻度桶,将不可能获得()L水
A、 8
B、 1
C、 7
D、 11
E、 3
F、 所有选项均能获得
答案:F
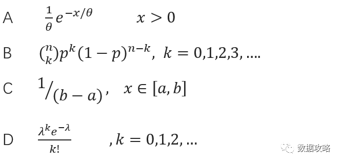
[15] 以下是泊松分布概率密度函数的是()

答案:D
二、编程题
▌题目一:
小易有一个初始为空的数字集合,支持两种操作:1、加入数字x到集合中。
2、询问集合中是否存在一个子集,满足子集中所有数字的Or值恰好为k。
Or为二进制按位或操作,C++中表示为"|"。小易希望你能解决这个问题。
第一行数字q,表示操作个数 接下来q行,每行两个数字:1 x表示插入数字x
2 x表示询问数字x(即题设中询问的数值k)
1<=q<=100000,1<=x<=100000
▼ 输出:
对于每个询问,输出"YES"或者"NO"表示是否存在。
▼ 样例输入:
9 1 4 2 5 1 9 1 15 2 4 1 11 2 10 2 7 2 9
▼ 样例输出:
NO YES NO NO YES
▼ 答案(Python)
import sysdef main():def exist(x):y = 0for i in lst:if i | x == x:y |= iif x == y:return Trueelse:return Falselst = set()res = []q = int(sys.stdin.readline().strip())m = map(int, sys.stdin.read().split())xlst = list(zip(m, m))for i, j in xlst:if i == 1:lst.add(j)else:res += ['YES' if exist(j) else 'NO']print(*res, sep='\n')if __name__ == '__main__':main()
▌题目二:
小易给定了一个长度为n的数字序列,对于每一个1<=k<=n,小易希望能求解出所有长度为k的连续子序列的最大值中的最小值。
第一行数字n
接下来一行是一个长度为n的数字序列

▼ 输出:
一行n个数字,第i个数字表示k = i时的答案。
▼ 样例输入:
▼ 样例输出:
1 3 3 4 6 6
▼ 答案(C++):
#include <map>#include <vector>#include <stdlib.h>#include <stdio.h>using namespace std;int main() {int n, i, temp, left, right;scanf("%d", &n);vector<int> a;map<int, int> radius;map<int, int>::iterator key;for (i = 0; i < n; ++i) {scanf("%d", &temp);a.push_back(temp);}for (i = 0; i < n; ++i) {left = i - 1;right = i + 1;while (left > -1) {if (a[left] > a[i]) {break;}--left;}while (right < n) {if (a[right] > a[i]) {break;}++right;}int sum = right - left - 1;key = radius.find(sum);if (key == radius.end()) {radius[sum] = a[i];} else {if (radius[sum] > a[i]) radius[sum] = a[i];}}int min = radius[n];map<int, int>::reverse_iterator rkey;for (rkey = radius.rbegin(); rkey != radius.rend(); rkey++) {if (min < rkey->second) {rkey->second = min;} else {min = rkey->second;}}int rRes = 1;for (i = 1; i <= n; ++i) {key = radius.find(rRes);if (key == radius.end()) {while (key==radius.end()) {++rRes;key = radius.find(rRes);}printf("%d ", key->second);} else {printf("%d ", key->second);if (rRes == i) {++rRes;}}}return 0;}
以上就是『网易』校招数据分析笔试真题及答案


如若盼 追更 『求职类』干货系列 

往期好文推荐 

Ps. 微信推文改了规则
看完记得设置为 “ 星标 ”
不然我会消失的

点个在看,肝『干货』更有动力




