【数据分析岗】概率论类高频考点框架这篇,重点讲解【概率论】系列 之 假设检验 常见高频考点 ↓
涉及考点:假设检验、统计功效、最小样本量
内含 推导 及 考点解析

也是AB实验中非常常用的两个基本概念
因此,是各大厂面试官考察应聘者对假设检验的 真实 掌握情况
考点举例:
▶ 第一类错误的定义?
▶ 统计功效的定义,以及应用场景?
▶ 统计功效较低的影响是什么?


假设检验


假设检验作为AB实验最基础的知识点。
我们必须熟记第一类错误和第二类错误的定义,以及检验统计量相关的前提条件。
(关于检验统计量后面我们将开展详细的文章讲解,在此不进行阐述)
原假设,用H0表示,通常将不应轻易加以否定的假设作为原假设。
备择假设,用H1表示,当H0被拒绝时而接收的假设。
H0为真但由于随机性使样本观测值落在了拒绝域中,从而拒绝原假设H0,这种错误称为第一类错误,也称为α错误。 H0不为真,但由于随机性使样本观测值落入接受域中,从而接受假设H0,这种错误称为第二类错误,也称为β错误。
下面用一张图来理解一下这两类错误:

互联网每日可获取大量的用户行为数据,根据统计量的检验方法,当样本量较大的时候,我们采用U(正态分布)检验法。
后面我们也将基于U检验法进行相关的讲解和推导。



统计功效


统计功效(statistical power)是指,当H0为假拒绝H0的概率。也就是1-β的概率。
下面我们以双边检验为例,单边检验只要进行相应的替换即可。
原假设和备择假设如下:

假根据第二类错误的定义当H0为假时,接受H0的概率,下面来详细推导统计功效的计算逻辑。

对于单边检验,功效power的推导结果为:

▼ 划重点:
统计功效的定义及公式展示结果。
统计功效低,那么当AB两组差异真的存在时,我们很可能会错误判断两组差异不存在。
我们一般把统计功效定义在80%(或90%)以上,即β在0.2(或0.1)以下。认为这样的可信度是可以接受的。


最小样本量


最小样本量是在准备开展AB实验时,对目标提升效果预计需要的样本量估算,方便提前估算出AB实验的运行周期。
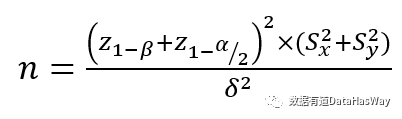
以单边检验为列,进行最小样本量计算,假设两组样本数量相等,均为n ,则最小样本量为:

双边检验的推导类似,最小样本量为:

▼ 划重点:最小样本量同时考虑了第一类、第二类错误。
以上,就是关于假设检验 | 统计功效 | 最小样本量的考点梳理。
如若其中某一方面、某一细节点对你有帮助,欢迎点赞,点亮在看
也可以在公众号后台找到我,说说你目前的困惑 ~

欢迎关注
更多 『求职干货』 & 『日常学习』 系列好文,等你发现~




