全文下载链接:http://tecdat.cn/?p=19469
本文将分析工业指数(DJIA)。工业指数(DIJA)是一个股市指数,表明30家大型上市公司的价值。工业指数(DIJA)的价值基于每个组成公司的每股股票价格之和。
获取数据
利用quantmod软件包中提供的getSymbols()函数,我们可以获得2007年至2018年底的工业平均指数。
getSymbols("^DJI", from = "2007-01-01", to = "2019-01-01")
dim(DJI)
## \[1\] 3020 6
class(DJI)
## \[1\] "xts" "zoo"
让我们看一下DJI xts对象,它提供了六个时间序列,我们可以看到。
head(DJI)
## DJI.Open DJI.High DJI.Low DJI.Close DJI.Volume DJI.Adjusted
## 2007-01-03 12459.54 12580.35 12404.82 12474.52 327200000 12474.52
## 2007-01-04 12473.16 12510.41 12403.86 12480.69 259060000 12480.69
## 2007-01-05 12480.05 12480.13 12365.41 12398.01 235220000 12398.01
## 2007-01-08 12392.01 12445.92 12337.37 12423.49 223500000 12423.49
## 2007-01-09 12424.77 12466.43 12369.17 12416.60 225190000 12416.60
## 2007-01-10 12417.00 12451.61 12355.63 12442.16 226570000 12442.16
tail(DJI)
## DJI.Open DJI.High DJI.Low DJI.Close DJI.Volume DJI.Adjusted
## 2018-12-21 22871.74 23254.59 22396.34 22445.37 900510000 22445.37
## 2018-12-24 22317.28 22339.87 21792.20 21792.20 308420000 21792.20
## 2018-12-26 21857.73 22878.92 21712.53 22878.45 433080000 22878.45
## 2018-12-27 22629.06 23138.89 22267.42 23138.82 407940000 23138.82
## 2018-12-28 23213.61 23381.88 22981.33 23062.40 336510000 23062.40
## 2018-12-31 23153.94 23333.18 23118.30 23327.46 288830000 23327.46
更准确地说,我们有可用的OHLC(开盘,高,低,收盘)指数值,调整后的收盘价和交易量。在这里,我们可以看到生成的相应图表。

我们在此分析调整后的收盘价。
DJI\[,"DJI.Adjusted"\]
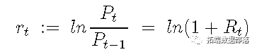
简单对数收益率
简单的收益定义为:

相关视频
对数收益率定义为:

我们计算对数收益率。
CalculateReturns(dj_close, method = "log")
让我们看看。
head(dj_ret)
## DJI.Adjusted
## 2007-01-04 0.0004945580
## 2007-01-05 -0.0066467273
## 2007-01-08 0.0020530973
## 2007-01-09 -0.0005547987
## 2007-01-10 0.0020564627
## 2007-01-11 0.0058356461
tail(dj_ret)
## DJI.Adjusted
## 2018-12-21 -0.018286825
## 2018-12-24 -0.029532247
## 2018-12-26 0.048643314
## 2018-12-27 0.011316355
## 2018-12-28 -0.003308137
## 2018-12-31 0.011427645
给出了下面的图。

可以看到波动率的急剧上升和下降。第3部分将对此进行深入验证。
辅助函数
我们需要一些辅助函数来简化一些基本的数据转换,摘要和绘图。
1.从xts转换为带有year and value列的数据框。这样就可以进行年度总结和绘制。
df\_t <- data.frame(year = factor(year(index(data\_xts))), value = coredata(data_xts))
colnames(df_t) <- c( "year", "value")
2.摘要统计信息,用于存储为数据框列的数据。
rownames(basicStats(rnorm(10,0,1))) # 基本统计数据输出行名称
with(dataset, tapply(value, year, basicStats))
3.返回关联的列名。
colnames(basicstats\[r, which(basicstats\[r,\] > threshold), drop = FALSE\])
4.基于年的面板箱线图。
p <- ggplot(data = data, aes(x = year, y = value)) + theme\_bw() + theme(legend.position = "none") + geom\_boxplot(fill = "blue")
5.密度图,以年份为基准。
p <- ggplot(data = data, aes(x = value)) + geom_density(fill = "lightblue")
p <- p + facet_wrap(. ~ year)
6.基于年份的QQ图。
p <- ggplot(data = dataset, aes(sample = value)) + stat\_qq(colour = "blue") + stat\_qq_line()
p <- p + facet_wrap(. ~ year)
7. Shapiro检验
pvalue <- function (v) {
shapiro.test(v)$p.value
}
每日对数收益率探索性分析
我们将原始的时间序列转换为具有年和值列的数据框。这样可以按年简化绘图和摘要。
head(ret_df)
## year value
## 1 2007 0.0004945580
## 2 2007 -0.0066467273
## 3 2007 0.0020530973
## 4 2007 -0.0005547987
## 5 2007 0.0020564627
## 6 2007 0.0058356461
tail(ret_df)
## year value
## 3014 2018 -0.018286825
## 3015 2018 -0.029532247
## 3016 2018 0.048643314
## 3017 2018 0.011316355
## 3018 2018 -0.003308137
## 3019 2018 0.011427645
基本统计摘要
给出了基本统计摘要。
## 2007 2008 2009 2010 2011
## nobs 250.000000 253.000000 252.000000 252.000000 252.000000
## NAs 0.000000 0.000000 0.000000 0.000000 0.000000
## Minimum -0.033488 -0.082005 -0.047286 -0.036700 -0.057061
## Maximum 0.025223 0.105083 0.066116 0.038247 0.041533
## 1. Quartile -0.003802 -0.012993 -0.006897 -0.003853 -0.006193
## 3. Quartile 0.005230 0.007843 0.008248 0.004457 0.006531
## Mean 0.000246 -0.001633 0.000684 0.000415 0.000214
## Median 0.001098 -0.000890 0.001082 0.000681 0.000941
## Sum 0.061427 -0.413050 0.172434 0.104565 0.053810
## SE Mean 0.000582 0.001497 0.000960 0.000641 0.000837
## LCL Mean -0.000900 -0.004580 -0.001207 -0.000848 -0.001434
## UCL Mean 0.001391 0.001315 0.002575 0.001678 0.001861
## Variance 0.000085 0.000567 0.000232 0.000104 0.000176
## Stdev 0.009197 0.023808 0.015242 0.010182 0.013283
## Skewness -0.613828 0.224042 0.070840 -0.174816 -0.526083
## Kurtosis 1.525069 3.670796 2.074240 2.055407 2.453822
## 2012 2013 2014 2015 2016
## nobs 250.000000 252.000000 252.000000 252.000000 252.000000
## NAs 0.000000 0.000000 0.000000 0.000000 0.000000
## Minimum -0.023910 -0.023695 -0.020988 -0.036402 -0.034473
## Maximum 0.023376 0.023263 0.023982 0.038755 0.024384
## 1. Quartile -0.003896 -0.002812 -0.002621 -0.005283 -0.002845
## 3. Quartile 0.004924 0.004750 0.004230 0.005801 0.004311
## Mean 0.000280 0.000933 0.000288 -0.000090 0.000500
## Median -0.000122 0.001158 0.000728 -0.000211 0.000738
## Sum 0.070054 0.235068 0.072498 -0.022586 0.125884
## SE Mean 0.000470 0.000403 0.000432 0.000613 0.000501
## LCL Mean -0.000645 0.000139 -0.000564 -0.001298 -0.000487
## UCL Mean 0.001206 0.001727 0.001139 0.001118 0.001486
## Variance 0.000055 0.000041 0.000047 0.000095 0.000063
## Stdev 0.007429 0.006399 0.006861 0.009738 0.007951
## Skewness 0.027235 -0.199407 -0.332766 -0.127788 -0.449311
## Kurtosis 0.842890 1.275821 1.073234 1.394268 2.079671
## 2017 2018
## nobs 251.000000 251.000000
## NAs 0.000000 0.000000
## Minimum -0.017930 -0.047143
## Maximum 0.014468 0.048643
## 1. Quartile -0.001404 -0.005017
## 3. Quartile 0.003054 0.005895
## Mean 0.000892 -0.000231
## Median 0.000655 0.000695
## Sum 0.223790 -0.057950
## SE Mean 0.000263 0.000714
## LCL Mean 0.000373 -0.001637
## UCL Mean 0.001410 0.001175
## Variance 0.000017 0.000128
## Stdev 0.004172 0.011313
## Skewness -0.189808 -0.522618
## Kurtosis 2.244076 2.802996
在下文中,我们对上述一些相关指标进行了具体评论。
平均值
每日对数收益率具有正平均值的年份是:
filter_stats(stats, "Mean", 0)
## \[1\] "2007" "2009" "2010" "2011" "2012" "2013" "2014" "2016" "2017"
按升序排列。
## 2008 2018 2015 2011 2007 2012 2014
## Mean -0.001633 -0.000231 -9e-05 0.000214 0.000246 0.00028 0.000288
## 2010 2016 2009 2017 2013
## Mean 0.000415 5e-04 0.000684 0.000892 0.000933
中位数
正中位数是:
filter\_stats(dj\_stats, "Median", 0)
## \[1\] "2007" "2009" "2010" "2011" "2013" "2014" "2016" "2017" "2018"
以升序排列。
## 2008 2015 2012 2017 2010 2018 2014
## Median -0.00089 -0.000211 -0.000122 0.000655 0.000681 0.000695 0.000728
## 2016 2011 2009 2007 2013
## Median 0.000738 0.000941 0.001082 0.001098 0.001158
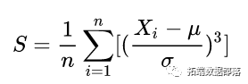
偏度
偏度(Skewness)可以用来度量随机变量概率分布的不对称性。
公式:
其中
是均值,
是标准差。
几何意义:
偏度的取值范围为(-∞,+∞)
当偏度<0时,概率分布图左偏(也叫负偏分布,其偏度<0)。
当偏度=0时,表示数据相对均匀的分布在平均值两侧,不一定是绝对的对称分布。
当偏度>0时,概率分布图右偏(也叫正偏分布,其偏度>0)。

例如上图中,左图形状左偏,右图形状右偏。
每日对数收益出现正偏的年份是:
## \[1\] "2008" "2009" "2012"
按升序返回对数偏度。
stats\["Skewness",order(stats\["Skewness",
## 2007 2011 2018 2016 2014 2013
## Skewness -0.613828 -0.526083 -0.522618 -0.449311 -0.332766 -0.199407
## 2017 2010 2015 2012 2009 2008
## Skewness -0.189808 -0.174816 -0.127788 0.027235 0.07084 0.224042
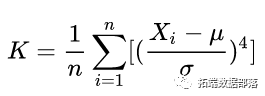
峰度
峰度(Kurtosis)可以用来度量随机变量概率分布的陡峭程度。
公式:

其中
是均值,
是标准差。
几何意义:
峰度的取值范围为[1,+∞),完全服从正态分布的数据的峰度值为 3,峰度值越大,概率分布图越高尖,峰度值越小,越矮胖。

例如上图中,左图是标准正太分布,峰度=3,右图的峰度=4,可以看到右图比左图更高尖。
通常我们将峰度值减去3,也被称为超值峰度(Excess Kurtosis),这样正态分布的峰度值等于0,当峰度值>0,则表示该数据分布与正态分布相比较为高尖,当峰度值<0,则表示该数据分布与正态分布相比较为矮胖。
点击标题查阅往期内容

R语言风险价值:ARIMA,GARCH,Delta-normal法滚动估计VaR(Value at Risk)和回测分析股票数据

左右滑动查看更多

每日对数收益出现超值峰度的年份是:
## \[1\] "2007" "2008" "2009" "2010" "2011" "2012" "2013" "2014" "2015" "2016"
## \[11\] "2017" "2018"
按升序返回超值峰度。
## 2012 2014 2013 2015 2007 2010 2009
## Kurtosis 0.84289 1.073234 1.275821 1.394268 1.525069 2.055407 2.07424
## 2016 2017 2011 2018 2008
## Kurtosis 2.079671 2.244076 2.453822 2.802996 3.670796
2018年的峰度最接近2008年。
箱形图

我们可以看到2008年出现了最极端的值。从2009年开始,除了2011年和2015年以外,其他所有值的范围都变窄了。但是,与2017年和2018年相比,产生极端值的趋势明显改善。
密度图
densityplot(ret_df)

2007年具有显着的负偏。2008年的特点是平坦。2017年的峰值与2018年的平坦度和左偏一致。
shapiro检验
shapirot(ret_df)
## result
## 2007 5.989576e-07
## 2008 5.782666e-09
## 2009 1.827967e-05
## 2010 3.897345e-07
## 2011 5.494349e-07
## 2012 1.790685e-02
## 2013 8.102500e-03
## 2014 1.750036e-04
## 2015 5.531137e-03
## 2016 1.511435e-06
## 2017 3.304529e-05
## 2018 1.216327e-07
正常的零假设在2007-2018年的所有年份均被拒绝。
每周对数收益率探索性分析
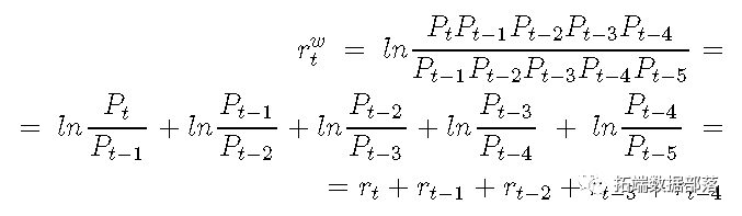
可以从每日对数收益率开始计算每周对数收益率。让我们假设分析第{t-4,t-3,t-2,t-1,t}天的交易周,并知道第t-5天(前一周的最后一天)的收盘价。我们将每周的对数收益率定义为:

可以写为:

因此,每周对数收益率是应用于交易周窗口的每日对数收益率之和。
我们来看看每周的对数收益率。

该图显示波动率急剧上升和下降。我们将原始时间序列数据转换为数据框。
head(weekly\_ret\_df)
## year value
## 1 2007 -0.0061521694
## 2 2007 0.0126690596
## 3 2007 0.0007523559
## 4 2007 -0.0062677053
## 5 2007 0.0132434177
## 6 2007 -0.0057588519
tail(weekly\_ret\_df)
## year value
## 622 2018 0.05028763
## 623 2018 -0.04605546
## 624 2018 -0.01189714
## 625 2018 -0.07114867
## 626 2018 0.02711928
## 627 2018 0.01142764
基本统计摘要
dataframe\_basicstats(weekly\_ret_df)
## 2007 2008 2009 2010 2011 2012
## nobs 52.000000 52.000000 53.000000 52.000000 52.000000 52.000000
## NAs 0.000000 0.000000 0.000000 0.000000 0.000000 0.000000
## Minimum -0.043199 -0.200298 -0.063736 -0.058755 -0.066235 -0.035829
## Maximum 0.030143 0.106977 0.086263 0.051463 0.067788 0.035316
## 1. Quartile -0.009638 -0.031765 -0.015911 -0.007761 -0.015485 -0.010096
## 3. Quartile 0.014808 0.012682 0.022115 0.016971 0.014309 0.011887
## Mean 0.001327 -0.008669 0.003823 0.002011 0.001035 0.001102
## Median 0.004244 -0.006811 0.004633 0.004529 0.001757 0.001166
## Sum 0.069016 -0.450811 0.202605 0.104565 0.053810 0.057303
## SE Mean 0.002613 0.006164 0.004454 0.003031 0.003836 0.002133
## LCL Mean -0.003919 -0.021043 -0.005115 -0.004074 -0.006666 -0.003181
## UCL Mean 0.006573 0.003704 0.012760 0.008096 0.008736 0.005384
## Variance 0.000355 0.001975 0.001051 0.000478 0.000765 0.000237
## Stdev 0.018843 0.044446 0.032424 0.021856 0.027662 0.015382
## Skewness -0.680573 -0.985740 0.121331 -0.601407 -0.076579 -0.027302
## Kurtosis -0.085887 5.446623 -0.033398 0.357708 0.052429 -0.461228
## 2013 2014 2015 2016 2017 2018
## nobs 52.000000 52.000000 53.000000 52.000000 52.000000 53.000000
## NAs 0.000000 0.000000 0.000000 0.000000 0.000000 0.000000
## Minimum -0.022556 -0.038482 -0.059991 -0.063897 -0.015317 -0.071149
## Maximum 0.037702 0.034224 0.037693 0.052243 0.028192 0.050288
## 1. Quartile -0.001738 -0.006378 -0.012141 -0.007746 -0.002251 -0.011897
## 3. Quartile 0.011432 0.010244 0.009620 0.012791 0.009891 0.019857
## Mean 0.004651 0.001756 -0.000669 0.002421 0.004304 -0.001093
## Median 0.006360 0.003961 0.000954 0.001947 0.004080 0.001546
## Sum 0.241874 0.091300 -0.035444 0.125884 0.223790 -0.057950
## SE Mean 0.001828 0.002151 0.002609 0.002436 0.001232 0.003592
## LCL Mean 0.000981 -0.002563 -0.005904 -0.002470 0.001830 -0.008302
## UCL Mean 0.008322 0.006075 0.004567 0.007312 0.006778 0.006115
## Variance 0.000174 0.000241 0.000361 0.000309 0.000079 0.000684
## Stdev 0.013185 0.015514 0.018995 0.017568 0.008886 0.026154
## Skewness -0.035175 -0.534403 -0.494963 -0.467158 0.266281 -0.658951
## Kurtosis -0.200282 0.282354 0.665460 2.908942 -0.124341 -0.000870
在下文中,我们对上述一些相关指标进行了具体评论。
平均值
每周对数收益呈正平均值的年份是:
## \[1\] "2007" "2009" "2010" "2011" "2012" "2013" "2014" "2016" "2017"
所有平均值按升序排列。
## 2008 2018 2015 2011 2012 2007 2014
## Mean -0.008669 -0.001093 -0.000669 0.001035 0.001102 0.001327 0.001756
## 2010 2016 2009 2017 2013
## Mean 0.002011 0.002421 0.003823 0.004304 0.004651
中位数
中位数是:
## \[1\] "2007" "2009" "2010" "2011" "2012" "2013" "2014" "2015" "2016" "2017"
## \[11\] "2018"
所有中值按升序排列。
## 2008 2015 2012 2018 2011 2016 2014
## Median -0.006811 0.000954 0.001166 0.001546 0.001757 0.001947 0.003961
## 2017 2007 2010 2009 2013
## Median 0.00408 0.004244 0.004529 0.004633 0.00636
偏度
出现正偏的年份是:
stats(stats, "Skewness", 0)
## \[1\] "2009" "2017"
所有偏度按升序排列。
stats\["Skewness",order(stats\["Skewness",,\])\]
## 2008 2007 2018 2010 2014 2015
## Skewness -0.98574 -0.680573 -0.658951 -0.601407 -0.534403 -0.494963
## 2016 2011 2013 2012 2009 2017
## Skewness -0.467158 -0.076579 -0.035175 -0.027302 0.121331 0.266281
峰度
出现正峰度的年份是:
filter_stats(stats, "Kurtosis", 0)
## \[1\] "2008" "2010" "2011" "2014" "2015" "2016"
峰度值都按升序排列。
## 2012 2013 2017 2007 2009 2018
## Kurtosis -0.461228 -0.200282 -0.124341 -0.085887 -0.033398 -0.00087
## 2011 2014 2010 2015 2016 2008
## Kurtosis 0.052429 0.282354 0.357708 0.66546 2.908942 5.446623
2008年也是每周峰度最高的年份。但是,在这种情况下,2017年的峰度为负,而2016年的峰度为第二。
箱形图

密度图

shapiro检验
shapirot(weekly_df)
## result
## 2007 0.0140590311
## 2008 0.0001397267
## 2009 0.8701335006
## 2010 0.0927104389
## 2011 0.8650874270
## 2012 0.9934600084
## 2013 0.4849043121
## 2014 0.1123139646
## 2015 0.3141519756
## 2016 0.0115380989
## 2017 0.9465281164
## 2018 0.0475141869
零假设在2007、2008、2016年被拒绝。
QQ图

在2008年尤其明显地违背正态分布的情况。
交易量探索性分析
在这一部分中,本文将分析道琼斯工业平均指数(DJIA)的交易量。
获取数据
每日量探索性分析
我们绘制每日交易量。
vol <- DJI\[,"DJI.Volume"\]
plot(vol)

值得注意的是,2017年初的水平跃升,我们将在第4部分中进行研究。我们将时间序列数据和时间轴索引转换为数据框。
head(dj\_vol\_df)
## year value
## 1 2007 327200000
## 2 2007 259060000
## 3 2007 235220000
## 4 2007 223500000
## 5 2007 225190000
## 6 2007 226570000
tail(dj\_vol\_df)
## year value
## 3015 2018 900510000
## 3016 2018 308420000
## 3017 2018 433080000
## 3018 2018 407940000
## 3019 2018 336510000
## 3020 2018 288830000
基本统计摘要
## 2007 2008 2009 2010
## nobs 2.510000e+02 2.530000e+02 2.520000e+02 2.520000e+02
## NAs 0.000000e+00 0.000000e+00 0.000000e+00 0.000000e+00
## Minimum 8.640000e+07 6.693000e+07 5.267000e+07 6.840000e+07
## Maximum 4.571500e+08 6.749200e+08 6.729500e+08 4.598900e+08
## 1. Quartile 2.063000e+08 2.132100e+08 1.961850e+08 1.633400e+08
## 3. Quartile 2.727400e+08 3.210100e+08 3.353625e+08 2.219025e+08
## Mean 2.449575e+08 2.767164e+08 2.800537e+08 2.017934e+08
## Median 2.350900e+08 2.569700e+08 2.443200e+08 1.905050e+08
## Sum 6.148432e+10 7.000924e+10 7.057354e+10 5.085193e+10
## SE Mean 3.842261e+06 5.965786e+06 7.289666e+06 3.950031e+06
## LCL Mean 2.373901e+08 2.649672e+08 2.656970e+08 1.940139e+08
## UCL Mean 2.525248e+08 2.884655e+08 2.944104e+08 2.095728e+08
## Variance 3.705505e+15 9.004422e+15 1.339109e+16 3.931891e+15
## Stdev 6.087286e+07 9.489163e+07 1.157199e+08 6.270480e+07
## Skewness 9.422400e-01 1.203283e+00 1.037015e+00 1.452082e+00
## Kurtosis 1.482540e+00 2.064821e+00 6.584810e-01 3.214065e+00
## 2011 2012 2013 2014
## nobs 2.520000e+02 2.500000e+02 2.520000e+02 2.520000e+02
## NAs 0.000000e+00 0.000000e+00 0.000000e+00 0.000000e+00
## Minimum 8.410000e+06 4.771000e+07 3.364000e+07 4.287000e+07
## Maximum 4.799800e+08 4.296100e+08 4.200800e+08 6.554500e+08
## 1. Quartile 1.458775e+08 1.107150e+08 9.488000e+07 7.283000e+07
## 3. Quartile 1.932400e+08 1.421775e+08 1.297575e+08 9.928000e+07
## Mean 1.804133e+08 1.312606e+08 1.184434e+08 9.288516e+07
## Median 1.671250e+08 1.251950e+08 1.109250e+08 8.144500e+07
## Sum 4.546415e+10 3.281515e+10 2.984773e+10 2.340706e+10
## SE Mean 3.897738e+06 2.796503e+06 2.809128e+06 3.282643e+06
## LCL Mean 1.727369e+08 1.257528e+08 1.129109e+08 8.642012e+07
## UCL Mean 1.880897e+08 1.367684e+08 1.239758e+08 9.935019e+07
## Variance 3.828475e+15 1.955108e+15 1.988583e+15 2.715488e+15
## Stdev 6.187468e+07 4.421660e+07 4.459353e+07 5.211034e+07
## Skewness 1.878239e+00 3.454971e+00 3.551752e+00 6.619268e+00
## Kurtosis 5.631080e+00 1.852581e+01 1.900989e+01 5.856136e+01
## 2015 2016 2017 2018
## nobs 2.520000e+02 2.520000e+02 2.510000e+02 2.510000e+02
## NAs 0.000000e+00 0.000000e+00 0.000000e+00 0.000000e+00
## Minimum 4.035000e+07 4.589000e+07 1.186100e+08 1.559400e+08
## Maximum 3.445600e+08 5.734700e+08 6.357400e+08 9.005100e+08
## 1. Quartile 8.775250e+07 8.224250e+07 2.695850e+08 2.819550e+08
## 3. Quartile 1.192150e+08 1.203550e+08 3.389950e+08 4.179200e+08
## Mean 1.093957e+08 1.172089e+08 3.112396e+08 3.593710e+08
## Median 1.021000e+08 9.410500e+07 2.996700e+08 3.414700e+08
## Sum 2.756772e+10 2.953664e+10 7.812114e+10 9.020213e+10
## SE Mean 2.433611e+06 4.331290e+06 4.376432e+06 6.984484e+06
## LCL Mean 1.046028e+08 1.086786e+08 3.026202e+08 3.456151e+08
## UCL Mean 1.141886e+08 1.257392e+08 3.198590e+08 3.731270e+08
## Variance 1.492461e+15 4.727538e+15 4.807442e+15 1.224454e+16
## Stdev 3.863238e+07 6.875709e+07 6.933572e+07 1.106550e+08
## Skewness 3.420032e+00 3.046742e+00 1.478708e+00 1.363823e+00
## Kurtosis 1.612326e+01 1.122161e+01 3.848619e+00 3.277164e+00
在下文中,我们对上面显示的一些相关指标进行了评论。
平均值
每日交易量具有正平均值的年份是:
## \[1\] "2007" "2008" "2009" "2010" "2011" "2012" "2013" "2014" "2015" "2016"
## \[11\] "2017" "2018"
所有每日交易量均值按升序排列。
## 2014 2015 2016 2013 2012 2011 2010
## Mean 92885159 109395714 117208889 118443373 131260600 180413294 201793373
## 2007 2008 2009 2017 2018
## Mean 244957450 276716364 280053730 311239602 359371036
中位数
每日交易量中位数为正的年份是:
## \[1\] "2007" "2008" "2009" "2010" "2011" "2012" "2013" "2014" "2015" "2016"
## \[11\] "2017" "2018"
所有每日成交量中值均按升序排列。
## 2014 2016 2015 2013 2012 2011 2010
## Median 81445000 94105000 102100000 110925000 125195000 167125000 190505000
## 2007 2009 2008 2017 2018
## Median 235090000 244320000 256970000 299670000 341470000
偏度
每日交易量出现正偏的年份是:
## \[1\] "2007" "2008" "2009" "2010" "2011" "2012" "2013" "2014" "2015" "2016"
## \[11\] "2017" "2018"
每日交易量偏度值均按升序排列。
## 2007 2009 2008 2018 2010 2017 2011
## Skewness 0.94224 1.037015 1.203283 1.363823 1.452082 1.478708 1.878239
## 2016 2015 2012 2013 2014
## Skewness 3.046742 3.420032 3.454971 3.551752 6.619268
峰度
有正峰度的年份是:
## \[1\] "2007" "2008" "2009" "2010" "2011" "2012" "2013" "2014" "2015" "2016"
## \[11\] "2017" "2018"
按升序排列。
## 2009 2007 2008 2010 2018 2017 2011
## Kurtosis 0.658481 1.48254 2.064821 3.214065 3.277164 3.848619 5.63108
## 2016 2015 2012 2013 2014
## Kurtosis 11.22161 16.12326 18.52581 19.00989 58.56136
箱形图

从2010年开始交易量开始下降,2017年出现了显着增长。2018年的交易量甚至超过了2017年和其他年份。
密度图

shapiro检验
## result
## 2007 6.608332e-09
## 2008 3.555102e-10
## 2009 1.023147e-10
## 2010 9.890576e-13
## 2011 2.681476e-16
## 2012 1.866544e-20
## 2013 6.906596e-21
## 2014 5.304227e-27
## 2015 2.739912e-21
## 2016 6.640215e-23
## 2017 4.543843e-12
## 2018 9.288371e-11
正态分布的零假设被拒绝。
QQ图

QQplots直观地确认了每日交易量分布的非正态情况。
每日交易量对数比率探索性分析
与对数收益类似,我们可以将交易量对数比率定义为
vt:= ln(Vt/Vt−1)
我们可以通过PerformanceAnalytics包中的CalculateReturns对其进行计算并将其绘制出来。
plot(vol\_log\_ratio)

将交易量对数比率时间序列数据和时间轴索引映射到数据框。
head(dvol_df)
## year value
## 1 2007 -0.233511910
## 2 2007 -0.096538449
## 3 2007 -0.051109832
## 4 2007 0.007533076
## 5 2007 0.006109458
## 6 2007 0.144221282
tail(vol_df)
## year value
## 3014 2018 0.44563907
## 3015 2018 -1.07149878
## 3016 2018 0.33945998
## 3017 2018 -0.05980236
## 3018 2018 -0.19249224
## 3019 2018 -0.15278959
基本统计摘要
## 2007 2008 2009 2010 2011
## nobs 250.000000 253.000000 252.000000 252.000000 252.000000
## NAs 0.000000 0.000000 0.000000 0.000000 0.000000
## Minimum -1.606192 -1.122526 -1.071225 -1.050181 -2.301514
## Maximum 0.775961 0.724762 0.881352 1.041216 2.441882
## 1. Quartile -0.123124 -0.128815 -0.162191 -0.170486 -0.157758
## 3. Quartile 0.130056 0.145512 0.169233 0.179903 0.137108
## Mean -0.002685 0.001203 -0.001973 -0.001550 0.000140
## Median -0.010972 0.002222 -0.031748 -0.004217 -0.012839
## Sum -0.671142 0.304462 -0.497073 -0.390677 0.035162
## SE Mean 0.016984 0.016196 0.017618 0.019318 0.026038
## LCL Mean -0.036135 -0.030693 -0.036670 -0.039596 -0.051141
## UCL Mean 0.030766 0.033100 0.032725 0.036495 0.051420
## Variance 0.072112 0.066364 0.078219 0.094041 0.170850
## Stdev 0.268536 0.257612 0.279677 0.306661 0.413341
## Skewness -0.802037 -0.632586 0.066535 -0.150523 0.407226
## Kurtosis 5.345212 2.616615 1.500979 1.353797 14.554642
## 2012 2013 2014 2015 2016
## nobs 250.000000 252.000000 252.000000 252.000000 252.000000
## NAs 0.000000 0.000000 0.000000 0.000000 0.000000
## Minimum -2.158960 -1.386215 -2.110572 -1.326016 -1.336471
## Maximum 1.292956 1.245202 2.008667 1.130289 1.319713
## 1. Quartile -0.152899 -0.145444 -0.144280 -0.143969 -0.134011
## 3. Quartile 0.144257 0.149787 0.134198 0.150003 0.141287
## Mean 0.001642 -0.002442 0.000200 0.000488 0.004228
## Median -0.000010 -0.004922 0.013460 0.004112 -0.002044
## Sum 0.410521 -0.615419 0.050506 0.123080 1.065480
## SE Mean 0.021293 0.019799 0.023514 0.019010 0.019089
## LCL Mean -0.040295 -0.041435 -0.046110 -0.036952 -0.033367
## UCL Mean 0.043579 0.036551 0.046510 0.037929 0.041823
## Variance 0.113345 0.098784 0.139334 0.091071 0.091826
## Stdev 0.336667 0.314299 0.373274 0.301780 0.303028
## Skewness -0.878227 -0.297951 -0.209417 -0.285918 0.083826
## Kurtosis 8.115847 4.681120 9.850061 4.754926 4.647785
## 2017 2018
## nobs 251.000000 251.000000
## NAs 0.000000 0.000000
## Minimum -0.817978 -1.071499
## Maximum 0.915599 0.926101
## 1. Quartile -0.112190 -0.119086
## 3. Quartile 0.110989 0.112424
## Mean -0.000017 0.000257
## Median -0.006322 0.003987
## Sum -0.004238 0.064605
## SE Mean 0.013446 0.014180
## LCL Mean -0.026500 -0.027671
## UCL Mean 0.026466 0.028185
## Variance 0.045383 0.050471
## Stdev 0.213032 0.224658
## Skewness 0.088511 -0.281007
## Kurtosis 3.411036 4.335748
在下文中,我们对一些相关的上述指标进行了具体评论。
平均值
每日交易量对数比率具有正平均值的年份是:
## \[1\] "2008" "2011" "2012" "2014" "2015" "2016" "2018"
所有每日成交量比率的平均值均按升序排列。
## 2007 2013 2009 2010 2017 2011 2014
## Mean -0.002685 -0.002442 -0.001973 -0.00155 -1.7e-05 0.00014 2e-04
## 2018 2015 2008 2012 2016
## Mean 0.000257 0.000488 0.001203 0.001642 0.004228
中位数
每日交易量对数比率具有正中位数的年份是:
## \[1\] "2008" "2014" "2015" "2018"
道琼斯所有每日成交量比率的中位数均按升序排列。
## 2009 2011 2007 2017 2013 2010
## Median -0.031748 -0.012839 -0.010972 -0.006322 -0.004922 -0.004217
## 2016 2012 2008 2018 2015 2014
## Median -0.002044 -1e-05 0.002222 0.003987 0.004112 0.01346
偏度
每日成交量比率具有正偏的年份是:
## \[1\] "2009" "2011" "2016" "2017"
所有每日成交量比率的平均值均按升序排列。
## 2012 2007 2008 2013 2015 2018
## Skewness -0.878227 -0.802037 -0.632586 -0.297951 -0.285918 -0.281007
## 2014 2010 2009 2016 2017 2011
## Skewness -0.209417 -0.150523 0.066535 0.083826 0.088511 0.407226
峰度
有正峰度的年份是:
## \[1\] "2007" "2008" "2009" "2010" "2011" "2012" "2013" "2014" "2015" "2016"
## \[11\] "2017" "2018"
均按升序排列。
## 2010 2009 2008 2017 2018 2016 2013
## Kurtosis 1.353797 1.500979 2.616615 3.411036 4.335748 4.647785 4.68112
## 2015 2007 2012 2014 2011
## Kurtosis 4.754926 5.345212 8.115847 9.850061 14.55464
箱形图

可以在2011、2014和2016年发现正的极端值。在2007、2011、2012、2014年可以发现负的极端值。
密度图

shapiro检验
## result
## 2007 3.695053e-09
## 2008 6.160136e-07
## 2009 2.083475e-04
## 2010 1.500060e-03
## 2011 3.434415e-18
## 2012 8.417627e-12
## 2013 1.165184e-10
## 2014 1.954662e-16
## 2015 5.261037e-11
## 2016 7.144940e-11
## 2017 1.551041e-08
## 2018 3.069196e-09
基于报告的p值,我们可以拒绝所有正态分布的零假设。
QQ图

在所有报告的年份都可以发现偏离正态状态。
对数收益率GARCH模型
我将为工业平均指数(DJIA)的每日对数收益率建立一个ARMA-GARCH模型。
这是工业平均指数每日对数收益的图。
plot(ret)

离群值检测
Performance Analytics程序包中的Return.clean函数能够清除异常值。在下面,我们将原始时间序列与调整离群值后的进行比较。
clean(ret, "boudt")

作为对波动率评估的更为保守的方法,本文将以原始时间序列进行分析。
相关图
以下是自相关和偏相关图。
acf(ret)

pacf(dj_ret)

上面的相关图表明p和q> 0的一些ARMA(p,q)模型。将在本分析的该范围内对此进行验证。
单位根检验
我们运行Augmented Dickey-Fuller检验。
##
## ###############################################
## # Augmented Dickey-Fuller Test Unit Root Test #
## ###############################################
##
## Test regression none
##
##
## Call:
## lm(formula = z.diff ~ z.lag.1 - 1 + z.diff.lag)
##
## Residuals:
## Min 1Q Median 3Q Max
## -0.081477 -0.004141 0.000762 0.005426 0.098777
##
## Coefficients:
## Estimate Std. Error t value Pr(>|t|)
## z.lag.1 -1.16233 0.02699 -43.058 < 2e-16 ***
## z.diff.lag 0.06325 0.01826 3.464 0.000539 ***
## ---
## Signif. codes: 0 '***' 0.001 '**' 0.01 '*' 0.05 '.' 0.1 ' ' 1
##
## Residual standard error: 0.01157 on 2988 degrees of freedom
## Multiple R-squared: 0.5484, Adjusted R-squared: 0.5481
## F-statistic: 1814 on 2 and 2988 DF, p-value: < 2.2e-16
##
##
## Value of test-statistic is: -43.0578
##
## Critical values for test statistics:
## 1pct 5pct 10pct
## tau1 -2.58 -1.95 -1.62
基于报告的检验统计数据与临界值的比较,我们拒绝单位根存在的零假设。
ARMA模型
现在,我们确定时间序列的ARMA结构,以便对结果残差进行ARCH效应检验。ACF和PACF系数拖尾表明存在ARMA(2,2)。我们利用auto.arima()函数开始构建。
## Series: ret
## ARIMA(2,0,4) with zero mean
##
## Coefficients:
## ar1 ar2 ma1 ma2 ma3 ma4
## 0.4250 -0.8784 -0.5202 0.8705 -0.0335 -0.0769
## s.e. 0.0376 0.0628 0.0412 0.0672 0.0246 0.0203
##
## sigma^2 estimated as 0.0001322: log likelihood=9201.19
## AIC=-18388.38 AICc=-18388.34 BIC=-18346.29
##
## Training set error measures:
## ME RMSE MAE MPE MAPE MASE
## Training set 0.0002416895 0.01148496 0.007505056 NaN Inf 0.6687536
## ACF1
## Training set -0.002537238
建议使用ARMA(2,4)模型。但是,ma3系数在统计上并不显着,进一步通过以下方法验证:
## z test of coefficients:
##
## Estimate Std. Error z value Pr(>|z|)
## ar1 0.425015 0.037610 11.3007 < 2.2e-16 ***
## ar2 -0.878356 0.062839 -13.9779 < 2.2e-16 ***
## ma1 -0.520173 0.041217 -12.6204 < 2.2e-16 ***
## ma2 0.870457 0.067211 12.9511 < 2.2e-16 ***
## ma3 -0.033527 0.024641 -1.3606 0.1736335
## ma4 -0.076882 0.020273 -3.7923 0.0001492 ***
## ---
## Signif. codes: 0 '***' 0.001 '**' 0.01 '*' 0.05 '.' 0.1 ' ' 1
因此,我们将MA阶q <= 2作为约束。
## Series: dj_ret
## ARIMA(2,0,2) with zero mean
##
## Coefficients:
## ar1 ar2 ma1 ma2
## -0.5143 -0.4364 0.4212 0.3441
## s.e. 0.1461 0.1439 0.1512 0.1532
##
## sigma^2 estimated as 0.0001325: log likelihood=9196.33
## AIC=-18382.66 AICc=-18382.64 BIC=-18352.6
##
## Training set error measures:
## ME RMSE MAE MPE MAPE MASE
## Training set 0.0002287171 0.01150361 0.007501925 Inf Inf 0.6684746
## ACF1
## Training set -0.002414944
现在,所有系数都具有统计意义。
## z test of coefficients:
##
## Estimate Std. Error z value Pr(>|z|)
## ar1 -0.51428 0.14613 -3.5192 0.0004328 ***
## ar2 -0.43640 0.14392 -3.0322 0.0024276 **
## ma1 0.42116 0.15121 2.7853 0.0053485 **
## ma2 0.34414 0.15323 2.2458 0.0247139 *
## ---
## Signif. codes: 0 '***' 0.001 '**' 0.01 '*' 0.05 '.' 0.1 ' ' 1
使用ARMA(2,1)和ARMA(1,2)进行的进一步验证得出的AIC值高于ARMA(2,2)。因此,ARMA(2,2)是更可取的。这是结果。
## Series: dj_ret
## ARIMA(2,0,1) with zero mean
##
## Coefficients:
## ar1 ar2 ma1
## -0.4619 -0.1020 0.3646
## s.e. 0.1439 0.0204 0.1438
##
## sigma^2 estimated as 0.0001327: log likelihood=9194.1
## AIC=-18380.2 AICc=-18380.19 BIC=-18356.15
##
## Training set error measures:
## ME RMSE MAE MPE MAPE MASE
## Training set 0.0002370597 0.01151213 0.007522059 Inf Inf 0.6702687
## ACF1
## Training set 0.0009366271
coeftest(auto_model3)
##
## z test of coefficients:
##
## Estimate Std. Error z value Pr(>|z|)
## ar1 -0.461916 0.143880 -3.2104 0.001325 **
## ar2 -0.102012 0.020377 -5.0062 5.552e-07 ***
## ma1 0.364628 0.143818 2.5353 0.011234 *
## ---
## Signif. codes: 0 '***' 0.001 '**' 0.01 '*' 0.05 '.' 0.1 ' ' 1
所有系数均具有统计学意义。
## ARIMA(1,0,2) with zero mean
##
## Coefficients:
## ar1 ma1 ma2
## -0.4207 0.3259 -0.0954
## s.e. 0.1488 0.1481 0.0198
##
## sigma^2 estimated as 0.0001328: log likelihood=9193.01
## AIC=-18378.02 AICc=-18378 BIC=-18353.96
##
## Training set error measures:
## ME RMSE MAE MPE MAPE MASE
## Training set 0.0002387398 0.0115163 0.007522913 Inf Inf 0.6703448
## ACF1
## Training set -0.001958194
coeftest(auto_model4)
##
## z test of coefficients:
##
## Estimate Std. Error z value Pr(>|z|)
## ar1 -0.420678 0.148818 -2.8268 0.004702 **
## ma1 0.325918 0.148115 2.2004 0.027776 *
## ma2 -0.095407 0.019848 -4.8070 1.532e-06 ***
## ---
## Signif. codes: 0 '***' 0.001 '**' 0.01 '*' 0.05 '.' 0.1 ' ' 1
所有系数均具有统计学意义。此外,我们使用TSA软件包报告中的eacf()函数。
## AR/MA
## 0 1 2 3 4 5 6 7 8 9 10 11 12 13
## 0 x x x o x o o o o o o o o x
## 1 x x o o x o o o o o o o o o
## 2 x o o x x o o o o o o o o o
## 3 x o x o x o o o o o o o o o
## 4 x x x x x o o o o o o o o o
## 5 x x x x x o o x o o o o o o
## 6 x x x x x x o o o o o o o o
## 7 x x x x x o o o o o o o o o
以“ O”为顶点的左上三角形位于(p,q)= {(1,2 ,,(2,2),(1,3)}}内,它表示一组潜在候选对象(p,q)值。ARMA(1,2)模型已经过验证。ARMA(2,2)已经是候选模型。让我们验证ARMA(1,3)。
## Call:
##
## Coefficients:
## ar1 ma1 ma2 ma3
## -0.2057 0.1106 -0.0681 0.0338
## s.e. 0.2012 0.2005 0.0263 0.0215
##
## sigma^2 estimated as 0.0001325: log likelihood = 9193.97, aic = -18379.94
coeftest(arima_model5)
##
## z test of coefficients:
##
## Estimate Std. Error z value Pr(>|z|)
## ar1 -0.205742 0.201180 -1.0227 0.306461
## ma1 0.110599 0.200475 0.5517 0.581167
## ma2 -0.068124 0.026321 -2.5882 0.009647 **
## ma3 0.033832 0.021495 1.5739 0.115501
## ---
## Signif. codes: 0 '***' 0.001 '**' 0.01 '*' 0.05 '.' 0.1 ' ' 1
只有一个系数具有统计意义。
结论是,我们选择ARMA(2,2)作为均值模型。现在,我们可以继续进行ARCH效果检验。
ARCH效应检验
现在,我们可以检验模型残差上是否存在ARCH效应。如果ARCH效应对于我们的时间序列的残差在统计上显着,则需要GARCH模型。
## ARCH LM-test; Null hypothesis: no ARCH effects
##
## data: model\_residuals - mean(model\_residuals)
## Chi-squared = 986.82, df = 12, p-value < 2.2e-16
基于报告的p值,我们拒绝没有ARCH效应的原假设。
让我们看一下残差相关图。

条件波动率
条件均值和方差定义为:
μt:= E(rt | Ft-1)σt2:= Var(rt | Ft-1)= E [(rt-μt)2 | Ft-1]
条件波动率可以计算为条件方差的平方根。
eGARCH模型
将sGARCH作为方差模型的尝试未获得具有统计显着性系数的结果。而指数GARCH(eGARCH)方差模型能够捕获波动率内的不对称性。要检查DJIA对数收益率内的不对称性,显示汇总统计数据和密度图。
## DAdjusted
## nobs 3019.000000
## NAs 0.000000
## Minimum -0.082005
## Maximum 0.105083
## 1. Quartile -0.003991
## 3. Quartile 0.005232
## Mean 0.000207
## Median 0.000551
## Sum 0.625943
## SE Mean 0.000211
## LCL Mean -0.000206
## UCL Mean 0.000621
## Variance 0.000134
## Stdev 0.011593
## Skewness -0.141370
## Kurtosis 10.200492
负偏度值确认分布内不对称性的存在。
这给出了密度图。

我们继续提出eGARCH模型作为方差模型(针对条件方差)。更准确地说,我们将使用ARMA(2,2)作为均值模型,指数GARCH(1,1)作为方差模型对ARMA-GARCH进行建模。
在此之前,我们进一步强调ARMA(0,0)在这种情况下不令人满意。ARMA-GARCH:ARMA(0,0)+ eGARCH(1,1)
##
## *---------------------------------*
## * GARCH Model Fit *
## *---------------------------------*
##
## Conditional Variance Dynamics
## -----------------------------------
## GARCH Model : eGARCH(1,1)
## Mean Model : ARFIMA(0,0,0)
## Distribution : sstd
##
## Optimal Parameters
## ------------------------------------
## Estimate Std. Error t value Pr(>|t|)
## mu 0.000303 0.000117 2.5933 0.009506
## omega -0.291302 0.016580 -17.5699 0.000000
## alpha1 -0.174456 0.013913 -12.5387 0.000000
## beta1 0.969255 0.001770 547.6539 0.000000
## gamma1 0.188918 0.021771 8.6773 0.000000
## skew 0.870191 0.021763 39.9848 0.000000
## shape 6.118380 0.750114 8.1566 0.000000
##
## Robust Standard Errors:
## Estimate Std. Error t value Pr(>|t|)
## mu 0.000303 0.000130 2.3253 0.020055
## omega -0.291302 0.014819 -19.6569 0.000000
## alpha1 -0.174456 0.016852 -10.3524 0.000000
## beta1 0.969255 0.001629 595.0143 0.000000
## gamma1 0.188918 0.031453 6.0063 0.000000
## skew 0.870191 0.022733 38.2783 0.000000
## shape 6.118380 0.834724 7.3298 0.000000
##
## LogLikelihood : 10138.63
##
## Information Criteria
## ------------------------------------
##
## Akaike -6.7119
## Bayes -6.6980
## Shibata -6.7119
## Hannan-Quinn -6.7069
##
## Weighted Ljung-Box Test on Standardized Residuals
## ------------------------------------
## statistic p-value
## Lag\[1\] 5.475 0.01929
## Lag\[2*(p+q)+(p+q)-1\]\[2\] 6.011 0.02185
## Lag\[4*(p+q)+(p+q)-1\]\[5\] 7.712 0.03472
## d.o.f=0
## H0 : No serial correlation
##
## Weighted Ljung-Box Test on Standardized Squared Residuals
## ------------------------------------
## statistic p-value
## Lag\[1\] 1.342 0.2467
## Lag\[2*(p+q)+(p+q)-1\]\[5\] 2.325 0.5438
## Lag\[4*(p+q)+(p+q)-1\]\[9\] 2.971 0.7638
## d.o.f=2
##
## Weighted ARCH LM Tests
## ------------------------------------
## Statistic Shape Scale P-Value
## ARCH Lag\[3\] 0.3229 0.500 2.000 0.5699
## ARCH Lag\[5\] 1.4809 1.440 1.667 0.5973
## ARCH Lag\[7\] 1.6994 2.315 1.543 0.7806
##
## Nyblom stability test
## ------------------------------------
## Joint Statistic: 4.0468
## Individual Statistics:
## mu 0.2156
## omega 1.0830
## alpha1 0.5748
## beta1 0.8663
## gamma1 0.3994
## skew 0.1044
## shape 0.4940
##
## Asymptotic Critical Values (10% 5% 1%)
## Joint Statistic: 1.69 1.9 2.35
## Individual Statistic: 0.35 0.47 0.75
##
## Sign Bias Test
## ------------------------------------
## t-value prob sig
## Sign Bias 1.183 0.23680
## Negative Sign Bias 2.180 0.02932 **
## Positive Sign Bias 1.554 0.12022
## Joint Effect 8.498 0.03677 **
##
##
## Adjusted Pearson Goodness-of-Fit Test:
## ------------------------------------
## group statistic p-value(g-1)
## 1 20 37.24 0.00741
## 2 30 42.92 0.04633
## 3 40 52.86 0.06831
## 4 50 65.55 0.05714
##
##
## Elapsed time : 0.6527421
所有系数均具有统计学意义。但是,根据以上报告的p值的标准化残差加权Ljung-Box检验,我们确认该模型无法捕获所有ARCH效果(我们拒绝了残差内无相关性的零假设) )。
作为结论,我们通过在下面所示的GARCH拟合中指定ARMA(2,2)作为均值模型来继续进行。
ARMA-GARCH:ARMA(2,2)+ eGARCH(1,1)
##
## *---------------------------------*
## * GARCH Model Fit *
## *---------------------------------*
##
## Conditional Variance Dynamics
## -----------------------------------
## GARCH Model : eGARCH(1,1)
## Mean Model : ARFIMA(2,0,2)
## Distribution : sstd
##
## Optimal Parameters
## ------------------------------------
## Estimate Std. Error t value Pr(>|t|)
## ar1 -0.47642 0.026115 -18.2433 0
## ar2 -0.57465 0.052469 -10.9523 0
## ma1 0.42945 0.025846 16.6157 0
## ma2 0.56258 0.054060 10.4066 0
## omega -0.31340 0.003497 -89.6286 0
## alpha1 -0.17372 0.011642 -14.9222 0
## beta1 0.96598 0.000027 35240.1590 0
## gamma1 0.18937 0.011893 15.9222 0
## skew 0.84959 0.020063 42.3469 0
## shape 5.99161 0.701313 8.5434 0
##
## Robust Standard Errors:
## Estimate Std. Error t value Pr(>|t|)
## ar1 -0.47642 0.007708 -61.8064 0
## ar2 -0.57465 0.018561 -30.9608 0
## ma1 0.42945 0.007927 54.1760 0
## ma2 0.56258 0.017799 31.6074 0
## omega -0.31340 0.003263 -96.0543 0
## alpha1 -0.17372 0.012630 -13.7547 0
## beta1 0.96598 0.000036 26838.0412 0
## gamma1 0.18937 0.013003 14.5631 0
## skew 0.84959 0.020089 42.2911 0
## shape 5.99161 0.707324 8.4708 0
##
## LogLikelihood : 10140.27
##
## Information Criteria
## ------------------------------------
##
## Akaike -6.7110
## Bayes -6.6911
## Shibata -6.7110
## Hannan-Quinn -6.7039
##
## Weighted Ljung-Box Test on Standardized Residuals
## ------------------------------------
## statistic p-value
## Lag\[1\] 0.03028 0.8619
## Lag\[2*(p+q)+(p+q)-1\]\[11\] 5.69916 0.6822
## Lag\[4*(p+q)+(p+q)-1\]\[19\] 12.14955 0.1782
## d.o.f=4
## H0 : No serial correlation
##
## Weighted Ljung-Box Test on Standardized Squared Residuals
## ------------------------------------
## statistic p-value
## Lag\[1\] 1.666 0.1967
## Lag\[2*(p+q)+(p+q)-1\]\[5\] 2.815 0.4418
## Lag\[4*(p+q)+(p+q)-1\]\[9\] 3.457 0.6818
## d.o.f=2
##
## Weighted ARCH LM Tests
## ------------------------------------
## Statistic Shape Scale P-Value
## ARCH Lag\[3\] 0.1796 0.500 2.000 0.6717
## ARCH Lag\[5\] 1.5392 1.440 1.667 0.5821
## ARCH Lag\[7\] 1.6381 2.315 1.543 0.7933
##
## Nyblom stability test
## ------------------------------------
## Joint Statistic: 4.4743
## Individual Statistics:
## ar1 0.07045
## ar2 0.37070
## ma1 0.07702
## ma2 0.39283
## omega 1.00123
## alpha1 0.49520
## beta1 0.79702
## gamma1 0.51601
## skew 0.07163
## shape 0.55625
##
## Asymptotic Critical Values (10% 5% 1%)
## Joint Statistic: 2.29 2.54 3.05
## Individual Statistic: 0.35 0.47 0.75
##
## Sign Bias Test
## ------------------------------------
## t-value prob sig
## Sign Bias 0.4723 0.63677
## Negative Sign Bias 1.7969 0.07246 *
## Positive Sign Bias 2.0114 0.04438 **
## Joint Effect 7.7269 0.05201 *
##
##
## Adjusted Pearson Goodness-of-Fit Test:
## ------------------------------------
## group statistic p-value(g-1)
## 1 20 46.18 0.0004673
## 2 30 47.73 0.0156837
## 3 40 67.07 0.0034331
## 4 50 65.51 0.0574582
##
##
## Elapsed time : 0.93679
所有系数均具有统计学意义。在标准化残差或标准化平方残差内未发现相关性。模型正确捕获所有ARCH效果。然而:
*对于某些模型参数,Nyblom稳定性检验无效假设认为模型参数随时间是恒定的
*正偏差为零的假设在5%的显着性水平上被拒绝;这种检验着重于正面冲击的影响
*拒绝了标准化残差的经验和理论分布相同的Pearson拟合优度检验原假设
_注意_:ARMA(1,2)+ eGARCH(1,1)拟合还提供统计上显着的系数,标准化残差内没有相关性,标准化平方残差内没有相关性,并且正确捕获了所有ARCH效应。但是,偏差检验在5%时不如ARMA(2,2)+ eGARCH(1,1)模型令人满意。
进一步显示诊断图。

我们用平均模型拟合(红线)和条件波动率(蓝线)显示了原始的对数收益时间序列。
p <- addSeries(mean\_model\_fit, col = 'red', on = 1)
p <- addSeries(cond_volatility, col = 'blue', on = 1)
p

模型方程式
结合ARMA(2,2)和eGARCH模型,我们可以:
yt − ϕ1yt−1 − ϕ2yt−2 = ϕ0 + ut + θ1ut−1 +θ2ut-2ut= σtϵt,ϵt = N(0,1)ln(σt2)=ω+ ∑j = 1q(αjϵt−j2 +γ (ϵt−j–E | ϵt−j |))+ ∑i =1pβiln(σt−12)
使用模型结果系数,结果如下。
yt +0.476 yt-1 +0.575 yt-2 = ut +0.429 ut-1 +0.563 ut-2ut = σtϵt,ϵt = N(0,1)ln(σt2)= -0.313 -0.174ϵt-12 +0.189( ϵt−1–E | ϵt−1 |))+ 0.966 ln(σt−12)
波动率分析
这是由ARMA(2,2)+ eGARCH(1,1)模型得出的条件波动图。
plot(cond_volatility)

显示了年条件波动率的线线图。
pl <- lapply(2007:2018, function(x) { plot(cond_volatility\[as.character(x)\])
pl

显示了按年列出的条件波动率箱图。

2008年之后,日波动率基本趋于下降。在2017年,波动率低于其他任何年。不同的是,与2017年相比,我们在2018年的波动性显着增加。

点击文末“阅读原文”
获取全文完整资料。
本文选自《R语言股票市场指数:ARMA-GARCH模型和对数收益率数据探索性分析》。
点击标题查阅往期内容











