全文下载链接:http://tecdat.cn/?p=20650
在本文中,人们通常使用接收者操作特征曲线(ROC)进行二元结果逻辑回归。但是,流行病学研究中感兴趣的结果通常是事件发生时间。
相关视频
使用随时间变化的时间相关ROC可以更全面地描述这种情况下的预测模型。
时间相关的ROC定义
令 Mi为用于死亡率预测的基线(时间0)标量标记。 当随时间推移观察到结果时,其预测性能取决于评估时间 _t_。直观地说,在零时间测量的标记值应该变得不那么相关。因此,ROC测得的预测性能(区分)是时间_t_的函数 。
累积病例
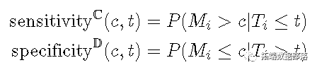
累积病例/动态ROC定义了在时间_t_ 处的阈值_c_处的 灵敏度和特异性, 如下所示。

累积灵敏度将在时间_t_之前死亡的视为分母(疾病),而将标记值高于 _c_ 的作为真实阳性(疾病阳性)。动态特异性将在时间_t_仍然活着作为分母(健康),并将标记值小于或等于 _c_ 的那些作为真实阴性(健康中的阴性)。将阈值 _c_ 从最小值更改为最大值会在时间_t_处显示整个ROC曲线 。
新发病例
新发病例ROC1在时间_t_ 处以阈值 _c_定义灵敏度和特异性, 如下所示。

累积灵敏度将在时间_t处_死亡的人 视为分母(疾病),而将标记值高于 _Ç_ 的人视为真实阳性(疾病阳性)。
数据准备
我们以survival
为例。事件发生的时间就是死亡的时间。Kaplan-Meier图如下。
## 变成data_frame
data <- as_data_frame(data)
## 绘图
plot(survfit(Surv(futime, fustat) ~ 1,
data = data)
可视化结果:

在数据集中超过720天没有发生任何事件。
点击标题查阅往期内容


左右滑动查看更多

## 拟合cox模型
coxph(formula = Surv(futime, fustat) ~ pspline(age, df = 4) +
##获得线性预测值
predict(coxph1, type = "lp")

累积病例
实现了累积病例
## 定义一个辅助函数,以在不同的时间进行评估
ROC_hlp <- function(t) {
survivalROC(Stime
status
marker
predict.time = t,
method = "NNE",
span = 0.25 * nrow(ovarian)^(-0.20))
}
## 每180天评估一次
ROC_data <- data_frame(t = 180 * c(1,2,3,4,5,6)) %>%
mutate(survivalROC = map(t, survivalROC_helper),
## 提取AUC
auc = map_dbl(survivalROC, magrittr::extract2, "AUC"),
## 在data_frame中放相关的值
df_survivalROC = map(survivalROC, function(obj) {
## 绘图
ggplot(mapping = aes(x = FP, y = TP)) +
geom_point() +
geom_line() +
facet_wrap( ~ t) +
可视化结果:

180天的ROC看起来是最好的。因为到此刻为止几乎没有事件。在最后观察到的事件(t≥720)之后,AUC稳定在0.856。这种表现并没有衰退,因为高风险分数的人死了。
新发病例
实现新发病例
## 定义一个辅助函数,以在不同的时间进行评估
## 每180天评估一次
## 提取AUC
auc = map_dbl(risksetROC, magrittr::extract2, "AUC"),
## 在data_frame中放相关的值
df_risksetROC = map(risksetROC, function(obj) {
## 标记栏
marker <- c(-Inf, obj[["marker"]], Inf)
## 绘图
ggplot(mapping = aes(x = FP, y = TP)) +
geom_point() +
geom_line() +
geom_label(data = risksetROC_data %>% dplyr::select(t,auc) %>% unique,
facet_wrap( ~ t) +
可视化结果:

这种差异在后期更为明显。最值得注意的是,只有在每个时间点处于风险集中的个体才能提供数据。所以数据点少了。表现的衰退更为明显,也许是因为在那些存活时间足够长的人中,时间零点的风险分没有那么重要。一旦没有事件,ROC基本上就会趋于平缓。
结论
总之,我们研究了时间依赖的ROC及其R实现。累积病例ROC可能与_风险_ (累积发生率)预测模型的概念更兼容 。新发病例ROC可用于检查时间零标记在预测后续事件时的相关性。
参考
Heagerty,Patrick J. and Zheng,Yingye, _Survival Model Predictive Accuracy and ROC Curves_,Biometrics,61(1),92-105(2005). doi:10.1111 j.0006-341X.2005.030814.x.

本文摘选《R语言中生存分析模型的时间依赖性ROC曲线可视化》,点击“阅读原文”获取全文完整资料。

本文中的病例数据分享到会员群,扫描下面二维码即可加群!

点击标题查阅往期内容
欲获取全文文件,请点击左下角“阅读原文”。




欲获取全文文件,请点击左下角“阅读原文”。









