全文下载链接:http://tecdat.cn?p=26519
一个简单的编码器-解码器LSTM神经网络应用于时间序列预测问题:预测天然气价格,预测范围为 10 天。“进入”时间步长也设置为 10 天。) 只需要 10 天来推断接下来的 10 天。可以使用 10 天的历史数据集以在线学习的方式重新训练网络。
数据集是天然气价格(查看文末了解数据获取方式) ,具有以下特征:
日期(从 1997 年到 2020 年)- 为 每天数据
以元计的天然气价格
相关视频:LSTM神经网络架构和工作原理及其在Python中的预测应用
读取数据并将日期作为索引处理
# 固定日期时间并设置为索引
dftet.index = pd.DatetimeIndex
# 用NaN来填补缺失的日期(以后再补)
dargt = f\_arget.reindex(ales, fill\_value=np.nan)
# 检查
print(d_tret.dtypes)
df_aget.head(10)

处理缺失的日期
# 数据归纳(使用 "向前填充"--根据之前的值进行填充)。
dfaet.fillna(method='ffill', inplace=True)


特征工程
因为我们正在使用深度学习,所以特征工程将是最小的。
One-hot 编码“is_weekend”和星期几
添加行的最小值和最大值(可选)
通过设置固定的上限(例如 30 倍中位数)修复异常高的值
# 在df_agg中修复任何非常高的值 - 归一化为中值
for col in co\_to\_fi_ies:
dgt\[col\] = fixnaes(dftget\[col\])

添加滞后
# 增加每周的滞后性
df\_tret = addag(d\_aget, tare\_arble='Price', step\_ak=7)
# 增加30天的滞后性
df\_get = ad\_ag(df\_ret, tagt\_able='Price', sep_bck=30)

# 合并后删除任何有NA值的列
d_gt.dropna(inplace=True)
print(dfget.shape)
tie\_nx = df\_art.index

归一化
归一化或最小-最大尺度(需要减小较宽的数值范围,以便 LSTM 收敛)。
# 标准化训练数据\[0, 1\]
sclr = prcsing.Maxcaer((0,1))

准备训练数据集
时间步数 = 1
时间步数 = nsteout小时数(预测范围)
在这里,我们将数据集从 [samples, features] 转换为 [samples, steps, features] - 与算法 LSTM 一起使用的维度。下面的序列拆分使用“walk-forward”方法来创建训练数据集。
# 多变量多步骤编码器-解码器 lstm 示例
# 选择一个时间步骤的数量
# 维度变成\[样本数、步骤、特征\]
X, y = splices(datasformed, n\_ep\_in, n\_ep\_out)
# 分成训练/测试
et_ut = int(0.05*X.shpe\[0\])
X\_tain, X\_est, ytrain, y\_tst = X\[:-tetaont\], X\[-tes\_ont:\], y\[:-tstmunt\], y\[-es_unt:\]

训练模型
这利用了长期短期记忆算法。
# 实例化和训练模型
model = cre\_odel(n\_tps\_in, n\_tep\_out, n\_feures, lerig_rate=0.0001)


探索预测
%%time
#加载特定的模型
model = lod\_id\_del(
n_stepin,
n\_sep\_out,
X_tan.shape\[2\])

# 展示对一个样本的预测
testle_ix = 0
yat = mdel.predict(X\_tet\[est\_amle\_ix\].reshape((1,n\_sep_in, nfatues)),erbose=Tue)

# 计算这一个测试样本的均方根误差
rmse = math.sqrt

plot\_result(yhat\[0\], scaler, saved\_columns)


点击标题查阅往期内容


左右滑动查看更多

平均 RMSE
# 收集所有的测试RMSE值
rmesores = \[\]
for i in range:
yhat = oel.predict(Xtet\[i\].reshape((1, \_stes\_in, _faues)), verbose=False)
# 计算这一个测试样本的均方根误差
rmse = math.sqrt(mensqaerror(yhat\[0\], y_test\[i\]))

训练整个数据集
#在所有数据上实例化和训练模型
modl\_l = cret\_mel(nsep\_in, steps\_ou, n_etures,learnnrate=0.0001)
mde\_all, ru\_ime, weighfie = trin(md_all, X, y, batcsie=16, neohs=15)


样本内预测
注意:模型已经“看到”或训练了这些样本,但我们希望确保它与预测一致。如果它做得不好,模型可能会欠拟合或过拟合。要尝试的事情:
增加或减少批量大小
增加或减少学习率
更改网络中 LSTM 的隐藏层数
# 获得10个步
da\_cent = dfret.iloc\[-(ntes\_in*2):-nsps_in\]
# 标准化
dta_ectormed = sclr.rasfrm(daareent)
# 维度变成\[样本数、步骤、特征\]
n_res = dtcentorm.shape\[1\]
X\_st = data\_recn\_trsrd.reshape((1, n\_tps\_n, n\_feares))
# 预测
foecst = mlll.predict(X_past)
# 扩大规模并转换为DF
forcast = forast.resape(n_eaturs))
foect = saer.inese_transform(forecast)
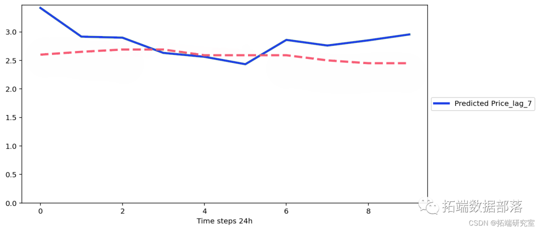
fuure\_dtes df\_targe.ide\[-n\_steps\_out:\]
# 绘图
histrcl = d_aet.ioc\[-100:, :1\] # 获得历史数据的X步回溯
for i in ane(oisae\[1\]):
fig = plt.igre(fgze=(10,5))
# 绘制df_agg历史数据
plt.plot(.iloc\[:,i\]
# 绘制预测图
plt.plot(frc.iloc\[:,i\])
# 标签和图例
plt.xlabel

预测样本外
# 获取最后10步
dtareent = dfargt.iloc\[-nstpsin:\]。
# 标准化
dta\_ecntranfomed = scaler.trasorm(data\_recent)
# 预测
forct = meall.rict(_past)
# 扩大规模并转换为DF
foreast = foecs.eshape(\_seps\_ut, n_eatures))
foreast = sclerinvers_tranorm(focast)
futur\_daes = pd.daternge(df\_argetinex\[-1\], priods=step_out, freq='D')
# 绘图
htrical = df_taet.iloc\[-100:, :1\] # 获得历史数据的X步回溯
# 绘制预测图
plt.plot(fectoc\[:,i\])

数据获取
在下面公众号后台回复“天然气数据”,可获取完整数据。

点击文末“阅读原文”
获取全文完整资料。
本文选自《PYTHON用KERAS的LSTM神经网络进行时间序列预测天然气价格例子》。
点击标题查阅往期内容



文章转载自拓端数据部落,如果涉嫌侵权,请发送邮件至:contact@modb.pro进行举报,并提供相关证据,一经查实,墨天轮将立刻删除相关内容。








