全文下载链接:http://tecdat.cn/?p=23524
在本文中,我想向你展示如何使用R的Metropolis采样从贝叶斯Poisson回归模型中采样。
相关视频

Metropolis-Hastings算法
Metropolis-Hastings抽样算法是一类马尔科夫链蒙特卡洛(MCMC)方法,其主要思想是生成一个马尔科夫链
使其平稳分布为目标分布。这种算法最常见的应用之一是在贝叶斯统计中从后验密度中取样,这也是本文的目标。
该算法规定对于一个给定的状态Xt,如何生成下一个状态
有一个候选点Y,它是从一个提议分布
,中生成的,根据决策标准被接受,所以链条在时间t+1时移动到状态Y,即Xt+1=Y或被拒绝,所以链条在时间t+1时保持在状态Xt,即Xt+1=Xt。
Metropolis 采样
在Metropolis算法中,提议分布是对称的,也就是说,提议分布
满足
,所以Metropolis采样器产生马尔科夫链的过程如下。
选择一个提议分布
. 在选择它之前,了解这个函数中的理想特征。从提议分布g中生成X0。
重复进行,直到链收敛到一个平稳的分布。
从
生成Y.从Uniform(0, 1)中生成U。
如果
, 接受Y并设置Xt+1=Y,否则设置Xt+1=Xt。这意味着候选点Y被大概率地接受
.递增t.
贝叶斯方法
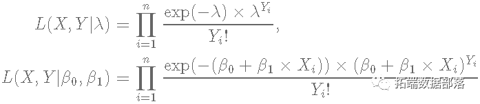
正如我之前提到的,我们要从定义为泊松回归模型的贝叶斯中取样。

对于贝叶斯分析中的参数估计,我们需要找到感兴趣的模型的似然函数,在这种情况下,从泊松回归模型中找到。

现在我们必须为每个参数β0和β1指定一个先验分布。我们将对这两个参数使用无信息的正态分布,β0∼N(0,100)和β1∼N(0,100) 。

最后,我们将后验分布定义为先验分布和似然分布的乘积。

使用Metropolis采样器时,后验分布将是目标分布。
计算方法
这里你将学习如何使用R语言的Metropolis采样器从参数β0和β1的后验分布中采样。
数据
首先,我们从上面介绍的泊松回归模型生成数据。
n <- 1000 # 样本大小
J <- 2 # 参数的数量
X <- runif(n,-2,2) # 生成自变量的值
beta <- runif(J,-2,2) #生成参数的值
y <- rpois(n, lambda = lambda) # 生成因变量的值
似然函数
现在我们定义似然函数。在这种情况下,我们将使用这个函数的对数,这是强烈建议的,以避免在运行算法时出现数字问题。
LikelihoodFunction <- function(param){
beta0 <- param\[1\]
beta1 <- param\[2\]
lambda <- exp(beta1*X + beta0)
# 对数似然函数
loglikelihoods <- sum(dpois(y, lambda = lambda, log=T))
return(loglikelihoods)
}
先验分布
接下来我们定义参数β0和β1的先验分布。与似然函数一样,我们将使用先验分布的对数。
beta0prior <- dnorm(beta0, 0, sqrt(100), log=TRUE)
beta1prior <- dnorm(beta1, 0, sqrt(100), log=TRUE)
return(beta0prior + beta1prior) #先验分布的对数
后验分布
由于我们是用对数工作的,我们把后验分布定义为似然函数的对数与先验分布的对数之和。记住,这个函数是我们的目标函数f(.),我们要从中取样。
提议函数
最后,我们定义提议分布g(.|Xt)。由于我们将使用Metropolis采样器,提议分布必须是对称的,并且取决于链的当前状态,因此我们将使用正态分布,其平均值等于当前状态下的参数值。
点击标题查阅往期内容


左右滑动查看更多

Metropolis 采样器
最后,我们编写代码,帮助我们执行Metropolis采样器。在这种情况下,由于我们使用的是对数,我们必须将候选点Y被接受的概率定义为。

# 创建一个数组来保存链的值
chain\[1, \] <- startvalue # 定义链的起始值
for (i in 1:iterations){
# 从提议函数生成Y
Y <- ProposalFunction(chain\[i, \])
# 候选点被接受的概率
PosteriorFunction(chain\[i, \]))
# 接受或拒绝Y的决策标准
if (runif(1) < probability) {
chain\[i+1, \] <- Y
}else{
chain\[i+1, \] <- chain\[i, \]
由于MCMC链具有很强的自相关,它可能产生的样本在短期内无法代表真实的基础后验分布。那么,为了减少自相关,我们可以只使用链上的每一个n个值来稀释样本。在这种情况下,我们将在算法的每20次迭代中为我们的最终链选择一个值。
startvalue <- c(0, 0) # 定义链条的起始值
#每20次迭代选择最终链的值
for (i in 1:10000){
if (i == 1){
cfinal\[i, \] <- chain\[i*20,\]
} else {
cfinal\[i, \] <- chain\[i*20,\]
# 删除链上的前5000个值
burnIn <- 5000
在这里,你可以看到ACF图,它给我们提供了任何序列与其滞后值的自相关值。在这种情况下,我们展示了初始MCMC链的ACF图和对两个参数的样本进行稀释后的最终链。从图中我们可以得出结论,所使用的程序实际上能够大大减少自相关。

结果
在这一节中,我们介绍了由Metropolis采样器产生的链以及它对参数β0和β1的分布。参数的真实值由红线表示。


与glm()的比较
现在我们必须将使用Metropolis采样得到的结果与glm()函数进行比较,glm()函数用于拟合广义linera模型。
下表列出了参数的实际值和使用Metropolis采样器得到的估计值的平均值。
## True value Mean MCMC glm
## beta0 1.0578047 1.0769213 1.0769789
## beta1 0.8113144 0.8007347 0.8009269
结论
从结果来看,我们可以得出结论,使用Metropolis采样器和glm()函数得到的泊松回归模型的参数β0和β1的估计值非常相似,并且接近于参数的实际值。另外,必须认识到先验分布、建议分布和链的初始值的选择对结果有很大的影响,因此这种选择必须正确进行。

本文摘选《R语言Metropolis Hastings采样和贝叶斯泊松回归Poisson模型》,点击“阅读原文”获取全文完整资料。
点击标题查阅往期内容
欲获取全文文件,请点击左下角“阅读原文”。




欲获取全文文件,请点击左下角“阅读原文”。









