全文下载链接:http://tecdat.cn/?p=21444
在本文中,逻辑logistic回归是研究中常用的方法,可以进行影响因素筛选、概率预测、分类等,例如医学研究中高通里测序技术得到的数据给高维变量选择问题带来挑战,惩罚logisitc回归可以对高维数据进行变量选择和系数估计,且其有效的算法保证了计算的可行性。方法本文介绍了常用的惩罚logistic算法如LASSO、岭回归。
相关视频
方法
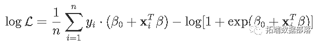
我们之前已经看到,用于估计参数模型参数的经典估计技术是使用最大似然法。更具体地说,
这里的目标函数只关注拟合优度。但通常,在计量经济学中,我们相信简单的理论比更复杂的理论更可取。所以我们想惩罚过于复杂的模型。
这主意不错。计量经济学教科书中经常提到这一点,但对于模型的选择,通常不涉及推理。通常,我们使用最大似然法估计参数,然后使用AIC或BIC来比较两个模型。Akaike(AIC)标准是基于

我们在左边有一个拟合优度的度量,而在右边,该罚则随着模型的“复杂性”而增加。
这里,复杂性是使用的变量的数量。但是假设我们不做变量选择,我们考虑所有协变量的回归。定义

AIC是可以写为

实际上,这就是我们的目标函数。更具体地说,我们将考虑

在这篇文章中,我想讨论解决这种优化问题的数值算法,对于l1(岭回归)和l2(LASSO回归)。
协变量的标准化
这里我们使用从急诊室的病人那里观察到的梗塞数据,我们想知道谁活了下来,得到一个预测模型。第一步是考虑所有协变量x_jxj的线性变换来标准化变量(带有单位方差)
for(j in 1:7) X[,j] = (X[,j]-mean(X[,j]))/sd(X[,j])
岭回归
在运行一些代码之前,回想一下我们想要解决如下问题

在考虑高斯变量对数似然的情况下,得到残差的平方和,从而得到显式解。但不是在逻辑回归的情况下。
岭回归的启发式方法如下图所示。在背景中,我们可以可视化logistic回归的(二维)对数似然,如果我们将优化问题作为约束优化问题重新布线,蓝色圆圈就是我们的约束:
可以等效地写(这是一个严格的凸问题)

因此,受约束的最大值应该在蓝色的圆盘上
b0=bbeta[1]
beta=bbeta[-1]
sum(-y*log(1 + exp(-(b0+X%*%beta))) -
(1-y)*log(1 + exp(b0+X%*%beta)))}
u = seq(-4,4,length=251)
v = outer(u,u,function(x,y) LogLik(c(1,x,y)))
lines(u,sqrt(1-u^2),type="l",lwd=2,col="blue")
lines(u,-sqrt(1-u^2),type="l",lwd=2,col="blue")

让我们考虑一下目标函数,下面的代码
-sum(-y*log(1 + exp(-(b0+X%*%beta))) - (1-y)*
log(1 + exp(b0+X%*%beta)))+lambda*sum(beta^2)
点击标题查阅往期内容


左右滑动查看更多

为什么不尝试一个标准的优化程序呢?我们提到过使用优化例程并不明智,因为它们强烈依赖于起点。
beta_init = lm(y~.,)$coefficients
for(i in 1:1000){
vpar[i,] = optim(par = beta_init*rnorm(8,1,2),
function(x) LogLik(x,lambda), method = "BFGS", control = list(abstol=1e-9))$par}
par(mfrow=c(1,2))
plot(density(vpar[,2])

显然,即使我们更改起点,也似乎我们朝着相同的值收敛。可以认为这是最佳的。
然后将用于计算βλ的代码
beta_init = lm(y~.,data )$coefficients
logistic_opt = optim(par = beta_init*0, function(x) LogLik(x,lambda),
method = "BFGS", control=list(abstol=1e-9))
我们可以将βλ的演化可视化为λ的函数
v_lambda = c(exp(seq(-2,5,length=61)))
plot(v_lambda,est_ridge[1,],col=colrs[1])
for(i in 2:7) lines(v_lambda,est_ridge[i,],

这看起来是有意义的:我们可以观察到λ增加时的收缩。
Ridge,使用Netwon Raphson算法
我们已经看到,我们也可以使用Newton Raphson解决此问题。没有惩罚项,算法是

其中

因此


然后是代码
for(j in 1:7) X[,j] = (X[,j]-mean(X[,j]))/sd(X[,j])
for(s in 1:9){
pi = exp(X%*%beta[,s])/(1+exp(X%*%beta[,s]))
B = solve(t(X)%*%Delta%*%X+2*lambda*diag(ncol(X))) %*% (t(X)%*%Delta%*%z)
beta = cbind(beta,B)}
beta[,8:10]
[,1] [,2] [,3]
XInter 0.59619654 0.59619654 0.59619654
XFRCAR 0.09217848 0.09217848 0.09217848
XINCAR 0.77165707 0.77165707 0.77165707
XINSYS 0.69678521 0.69678521 0.69678521
XPRDIA -0.29575642 -0.29575642 -0.29575642
XPAPUL -0.23921101 -0.23921101 -0.23921101
XPVENT -0.33120792 -0.33120792 -0.33120792
XREPUL -0.84308972 -0.84308972 -0.84308972
同样,似乎收敛的速度非常快。
有趣的是,通过这个算法,我们还可以得到估计量的方差

然后根据 λ函数计算 βλ的代码
for(s in 1:20){
pi = exp(X%*%beta[,s])/(1+exp(X%*%beta[,s]))
diag(Delta)=(pi*(1-pi))
z = X%*%beta[,s] + solve(Delta)%*%(Y-pi)
B = solve(t(X)%*%Delta%*%X+2*lambda*diag(ncol(X))) %*% (t(X)%*%Delta%*%z)
beta = cbind(beta,B)}
Varz = solve(Delta)
Varb = solve(t(X)%*%Delta%*%X+2*lambda*diag(ncol(X))) %*% t(X)%*% Delta %*% Varz %*%
Delta %*% X %*% solve(t(X)%*%Delta%*%X+2*lambda*diag(ncol(X)))
我们可以可视化 βλ的演化(作为 λ的函数)
plot(v_lambda,est_ridge[1,],col=colrs[1],type="l")
for(i in 2:7) lines(v_lambda,est_ridge[i,],col=colrs[i])

并获得方差的演变

回想一下,当λ=0(在图的左边),β0=βmco(没有惩罚)。因此,当λ增加时(i)偏差增加(估计趋于0)(ii)方差减小。
使用glmnet Ridge回归
与往常一样,有R个函数可用于进行岭回归。让我们使用glmnet函数, α= 0
for(j in 1:7) X[,j] = (X[,j]-mean(X[,j]))/sd(X[,j])
glmnet(X, y, alpha=0)
plot(glm_ridge,xvar="lambda")

作为L1标准范数,

带正交协变量的岭回归当协变量是正交的时,得到了一个有趣的例子。这可以通过协变量的主成分分析得到。
get_pca_ind(pca)$coord
让我们对这些(正交)协变量进行岭回归
glm_ridge = glmnet(pca_X, y, alpha=0)
plot(glm_ridge,xvar="lambda",col=colrs,lwd=2)


我们清楚地观察到参数的收缩,即

应用
让我们尝试第二组数据
我们可以尝试各种λ的值
glmnet(cbind(df0$x1,df0$x2), df0$y==1, alpha=0)
plot(reg,xvar="lambda",col=c("blue","red"),lwd=2)
abline(v=log(.2))

或者
abline(v=log(1.2))
plot_lambda(1.2)
下一步是改变惩罚的标准,使用l1标准范数。
协变量的标准化
如前所述,第一步是考虑所有协变量x_jxj的线性变换,使变量标准化(带有单位方差)
for(j in 1:7) X[,j] = (X[,j]-mean(X[,j]))/sd(X[,j])
X = as.matrix(X)
岭回归
关于lasso套索回归的启发式方法如下图所示。在背景中,我们可以可视化logistic回归的(二维)对数似然,蓝色正方形是我们的约束条件,如果我们将优化问题作为一个约束优化问题重新考虑,
LogLik = function(bbeta){
sum(-y*log(1 + exp(-(b0+X%*%beta))) -
(1-y)*log(1 + exp(b0+X%*%beta)))}
contour(u,u,v,add=TRUE)
polygon(c(-1,0,1,0),c(0,1,0,-1),border="blue")

这里的好处是它可以用作变量选择工具。
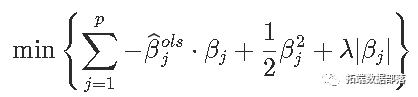
启发性地,数学解释如下。考虑一个简单的回归方程y_i=xiβ+ε,具有 l1-惩罚和 l2-损失函数。优化问题变成

一阶条件可以写成

则解为

优化过程
让我们从标准(R)优化例程开始,比如BFGS
logistic_opt = optim(par = beta_init*0, function(x) PennegLogLik(x,lambda),
hessian=TRUE, method = "BFGS", control=list(abstol=1e-9))
plot(v_lambda,est_lasso[1,],col=colrs[1],type="l")
for(i in 2:7) lines(v_lambda,est_lasso[i,],col=colrs[i],lwd=2)

结果是不稳定的。
使用glmnet
为了进行比较,使用专用于lasso的R程序,我们得到以下内容
plot(glm_lasso,xvar="lambda",col=colrs,lwd=2)


如果我们仔细观察输出中的内容,就可以看到存在变量选择,就某种意义而言,βj,λ= 0,意味着“真的为零”。
,lambda=exp(-4))$beta
7x1 sparse Matrix of class "dgCMatrix"
s0
FRCAR .
INCAR 0.11005070
INSYS 0.03231929
PRDIA .
PAPUL .
PVENT -0.03138089
REPUL -0.20962611
没有优化例程,我们不能期望有空值
opt_lasso(.2)
FRCAR INCAR INSYS PRDIA
0.4810999782 0.0002813658 1.9117847987 -0.3873926427
PAPUL PVENT REPUL
-0.0863050787 -0.4144139379 -1.3849264055
正交协变量
在学习数学之前,请注意,当协变量是正交的时,有一些非常清楚的“变量”选择过程,
pca = princomp(X)
pca_X = get_pca_ind(pca)$coord
plot(glm_lasso,xvar="lambda",col=colrs)
plot(glm_lasso,col=colrs)

-
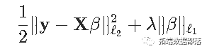
标准lasso
如果我们回到原来的lasso方法,目标是解决

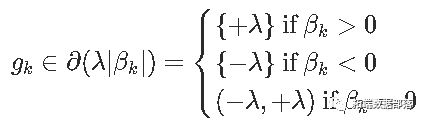
注意,截距不受惩罚。一阶条件是

也就是

我们可以检查bf0是否至少包含次微分。


对于左边的项

这样前面的方程就可以写出来了

然后我们将它们简化为一组规则来检查我们的解
我们可以将βj分解为正负部分之和,方法是将βj替换为βj+-βj-,其中βj+,βj-≥0。lasso问题就变成了

令αj+,αj−分别表示βj+,βj−的拉格朗日乘数。

为了满足平稳性条件,我们取拉格朗日关于βj+的梯度,并将其设置为零获得

我们对βj−进行相同操作以获得

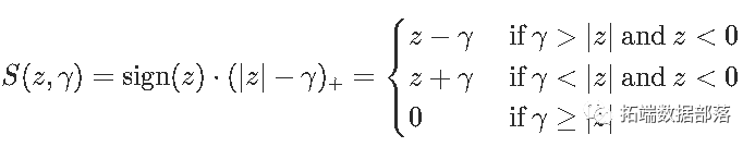
为了方便起见,引入了软阈值函数

注意优化问题

也可以写
观察到

这是一个坐标更新。
现在,如果我们考虑一个(稍微)更一般的问题,在第一部分中有权重

坐标更新变为
回到我们最初的问题。
lasso套索逻辑回归
这里可以将逻辑问题表述为二次规划问题。回想一下对数似然在这里

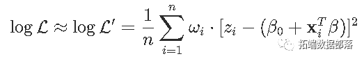
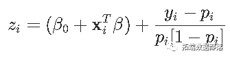
这是参数的凹函数。因此,可以使用对数似然的二次近似-使用泰勒展开,

其中z_izi是

pi是预测

这样,我们得到了一个惩罚的最小二乘问题。我们可以用之前的方法
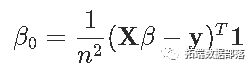
beta0 = sum(y-X%*%beta)/(length(y))
beta0list[j+1] = beta0
betalist[[j+1]] = beta
obj[j] = (1/2)*(1/length(y))*norm(omega*(z - X%*%beta -
beta0*rep(1,length(y))),'F')^2 + lambda*sum(abs(beta))
if (norm(rbind(beta0list[j],betalist[[j]]) -
rbind(beta0,beta),'F') < tol) { break }
}
return(list(obj=obj[1:j],beta=beta,intercept=beta0)) }

它看起来像是调用glmnet时得到的结果,对于一些足够大的λ,我们确实有空成分。
在第二个数据集上的应用
现在考虑具有两个协变量的第二个数据集。获取lasso估计的代码是
plot_l = function(lambda){
m = apply(df0,2,mean)
s = apply(df0,2,sd)
for(j in 1:2) df0[,j] &
reg = glmnet(cbind(df0$x1,df0$x2), df0$y==1, alpha=1,lambda=lambda)
u = seq(0,1,length=101)
p = function(x,y){
predict(reg,newx=cbind(x1=xt,x2=yt),type="response")}
image(u,u,v,col=clr10,breaks=(0:10)/10)
points(df$x1,df$x2,pch=c(1,19)[1+z],cex=1.5)
contour(u,u,v,levels = .5,add=TRUE)
考虑 lambda的一些小值,我们就只有某种程度的参数缩小
plot(reg,xvar="lambda",col=c("blue","red"),lwd=2)
abline(v=exp(-2.8))
plot_l(exp(-2.8))

但是使用较大的λ,则存在变量选择:β1,λ= 0


点击文末“阅读原文”
获取全文完整代码数据资料。
本文选自《R语言惩罚logistic逻辑回归(LASSO,岭回归)高维变量选择的分类模型案例》。

本文中的心肌梗塞数据数据分享到会员群,扫描下面二维码即可加群!

点击标题查阅往期内容











