一、前言
小编从事Java开发不到两年时间,最近也是面试过很多家公司,不说什么大厂。咱只能分享一下自己在面试过程中问到的问题,总结一下,希望可以帮助到您!!答案有时间会补上去,有了问题可以先自己百度一下,网上还是有很多的答案的。
二、Java基础面试题
1. 访问修饰符public,private,protected,default的区别?
| 修饰符 | 同包下 | 子类 | 当前类 | 其他包下 |
|---|---|---|---|---|
| public | 可以 | 可以 | 可以 | 可以 |
| protected | 可以 | 可以 | 可以 | 不可以 |
| default | 可以 | 不可以 | 可以 | 不可以 |
| private | 不可以 | 不可以 | 可以 | 不可以 |
2. final finally finalize区别
final finally finalize区别:https://blog.csdn.net/qq_52423918/article/details/121099499
3. String、StringBuffer、StringBuilder的区别?
String 是 Java 语言非常基础和重要的类,提供了构造和管理字符串的各种基本逻辑。它是典型的 Immutable 类,被声明成为 final class,所有属性也都是 final 的。也由于它的不可变性,类似拼接、裁剪字符串等动作,都会产生新的 String 对象。由于字符串操作的普遍性,所以相关操作的效率往往对应用性能有明显影响。
StringBuffer 是为解决上面提到拼接产生太多中间对象的问题而提供的一个类,我们可以用 append 或者 add 方法,把字符串添加到已有序列的末尾或者指定位置。StringBuffer 本质是一个线程安全的可修改字符序列,它保证了线程安全,也随之带来了额外的性能开销,所以除非有线程安全的需要,不然还是推荐使用它的后继者,也就是 StringBuilder。
StringBuilder 是 Java 1.5 中新增的,在能力上和 StringBuffer 没有本质区别,但是它去掉了线程安全的部分,有效减小了开销,是绝大部分情况下进行字符串拼接的首选。
4. String str = "wang" 和 String str = new String("wang") 区别?
两个语句都会先去字符串常量池中检查是否已经存在 "wang",如果有则不用创建新的,如果没有则会在常量池中创建 "wang" 对象。
不过,String str = new String("wang") 还会在堆内存中创建一个str对象。
5. == 和 equals 的区别是什么?
==对于八大基本数据类型变量,比较的变量保存的值是否相同。
对于引用类型变量,比较的是两个对象的地址是否相同。
equals不重写equals方法时,默认是判断两个变量或实例所指向的内存地址是否相同
重写了 equals()是对字符串的内容进行判断是否相同
三、多线程面试题
1. 实现多线程程序有几种方式?
1.继承Thread类,重写run方法
2.实现Runnable接口,重写run方法
3.实现Callable接口,重写call方法
4.通过线程池创建线程
2. Runnable 接口和实现 Callable 接口的区别?
Callable接口需要实现call方法,Runnable接口需要实现run方法。call方法还可以返回任何对象(public interface Callable ,采用泛型),若不指定,默认为Object对象来处理,也可以指定了泛型的类型。实现Callable接口不光可以有返回值,还可以抛异常。
3. 线程的状态?
1. 新建(NEW):新创建了一个线程对象。
可运行(RUNNABLE):线程对象创建后,其他线程(比如main线程)调用了该对象的start()方法。该状态的线程位于可运行线程池中,等待被线程调度选中,获取cpu
的使用权 。运行(RUNNING):可运行状态(runnable)的线程获得了cpu 时间片(timeslice) ,执行程序代码。
阻塞(BLOCKED):阻塞状态是指线程因为某种原因放弃了cpu 使用权,也即让出了cpu timeslice,暂时停止运行。直到线程进入可运行(runnable)状态,才有机会再次获得cpu timeslice
转到运行(running)状态。阻塞的情况分三种:
- 等待阻塞:运行(running)的线程执行o.wait()方法,JVM会把该线程放入等待队列(waitting queue)中。
- 同步阻塞:运行(running)的线程在获取对象的同步锁时,若该同步锁被别的线程占用,则JVM会把该线程放入锁池(lock pool)中。
- 其他阻塞:运行(running)的线程执行Thread.sleep(long
ms)或t.join()方法,或者发出了I/O请求时,JVM会把该线程置为阻塞状态。当sleep()状态超时、join()等待线程终止或者超时、或者I/O处理完毕时,线程重新转入可运行(runnable)状态。
5. 死亡(DEAD):线程run()、main() 方法执行结束,或者因异常退出了run()方法,则该线程结束生命周期。死亡的线程不可再次复生。在这里插入图片描述
4. 线程池的核心属性有哪些?
1.corePoolSize(核心线程数)
(1)核心线程会一直存在,即使没有任务执行;
(2)当线程数小于核心线程数的时候,即使有空闲线程,也会一直创建线程直到达到核心线程数;
(3)设置allowCoreThreadTimeout=true(默认false)时,核心线程会超时关闭。
2.queueCapacity(任务队列容量)
也叫阻塞队列,当核心线程都在运行,此时再有任务进来,会进入任务队列,排队等待线程执行。
3.maxPoolSize(最大线程数)
(1)线程池里允许存在的最大线程数量;
(2)当任务队列已满,且线程数量大于等于核心线程数时,会创建新的线程执行任务;
(3)线程池里允许存在的最大线程数量。当任务队列已满,且线程数量大于等于核心线程数时,会创建新的线程执行任务。
4.keepAliveTime(线程空闲时间)
(1)当线程空闲时间达到keepAliveTime时,线程会退出(关闭),直到线程数等于核心线程数;
(2)如果设置了allowCoreThreadTimeout=true,则线程会退出直到线程数等于零。
5.allowCoreThreadTimeout(允许核心线程超时)
6.rejectedExecutionHandler(任务拒绝处理器)
(1)当线程数量达到最大线程数,且任务队列已满时,会拒绝任务;
(2)调用线程池shutdown()方法后,会等待执行完线程池的任务之后,再shutdown()。如果在调用shutdown()方法和线程池真正shutdown()之间提交任务,会拒绝新任务。
\
答案来源
四、并发面试题
1. 谈谈对volitile 关键字的理解?
volatile是JVM提供的轻量级的同步机制,两大特点为:保证可见性、禁止指令重排(保证有序性) ,并不会保证原子性。
保证可见性:保证被volatile修饰的共享变量对所有线程总数可见的,也就是当一个线程修改了一个被volatile修饰共享变量的值,新值总数可以被其他线程立即得知。也可以简单的说, 保证了不同线程对该变量操作的内存可见性。
\
禁止指令重排序优化:避免多线程环境下程序出现乱序执行的现象
//例子来源尚硅谷阳哥
public class Demo{
int a = 0;
boolean flag = false;
public void method01(){
a = 1;//语句1
flag = true;//语句2
}
public void method02(){
if(flag){
a = a + 5; //语句3
}
System.out.println("retValue: " + a);//可能是6或1或5或0
}
}
2. 谈谈对cas 的理解?
CAS的全称为Compare-And-Swap,它是一条CPU并发原语。
它的功能是判断内存某个位置的值是否为预期值,如果是则更改为新的值,这个过程是原子的。
CAS并发原语体现在JAVA语言中就是sun.misc.Unsafe类中的各个方法。调用UnSafe类中的CAS方法,JVM会帮我们实现出CAS汇编指令。这是一种完全依赖于硬件的功能,通过它实现了原子操作。再次强调,由于CAS是一种系统原语,原语属于操作系统用语范畴,是由若干条指令组成的,用于完成某个功能的一个过程,并且原语的执行必须是连续的,在执行过程中不允许被中断,也就是说CAS是一条CPU的原子指令,不会造成所谓的数据不一致问题。(原子性)---来自尚硅谷阳哥
//源码分析
//var1 对象本身 var2 对象值得引用地址 var4 需要变动的数量 var5 用过var1,var2找出的主内存中真实的值
public final int getAndAddInt(Object var1, long var2, int var4) {
int var5;
do {
var5 = this.getIntVolatile(var1, var2);
} while(!this.compareAndSwapInt(var1, var2, var5, var5 + var4));
return var5;
}
五、集合类面试题
1. Vector、ArrayList、LinkedList 有何区别?
Vector、ArrayList、LinkedList均为线型的数据结构,但是从实现方式与应用场景中又存在差别。
\
1. 底层实现方式:
ArrayList内部用数组来实现;LinkedList内部采用双向链表实现;Vector内部用数组实现。
\
2. 读写机制
ArrayList在执行插入元素是超过当前数组预定义的最大值时,数组需要扩容,扩容过程需要调用底层System.arraycopy()方法进行大量的数组复制操作;在删除元素时并不会减少数组的容量(如果需要缩小数组容量,可以调用trimToSize()方法);在查找元素时要遍历数组,对于非null的元素采取equals的方式寻找。
LinkedList在插入元素时,须创建一个新的Entry对象,并更新相应元素的前后元素的引用;在查找元素时,需遍历链表;在删除元素时,要遍历链表,找到要删除的元素,然后从链表上将此元素删除即可。
Vector与ArrayList仅在插入元素时容量扩充机制不一致。对于Vector,默认创建一个大小为10的Object数组,并将capacityIncrement设置为0;当插入元素数组大小不够时,如果capacityIncrement大于0,则将Object数组的大小扩大为现有size+capacityIncrement;如果capacityIncrement<=0,则将Object数组的大小扩大为现有大小的2倍。
\
3. 读写效率
ArrayList对元素的增加和删除都会引起数组的内存分配空间动态发生变化。因此,对其进行插入和删除速度较慢,但检索速度很快。
LinkedList由于基于链表方式存放数据,增加和删除元素的速度较快,但是检索速度较慢。
\
4. 线程安全性
ArrayList、LinkedList为非线程安全;Vector是基于synchronized实现的线程安全的ArrayList。
需要注意的是:单线程应尽量使用ArrayList,Vector因为同步会有性能损耗;即使在多线程环境下,我们可以利用Collections这个类中为我们提供的synchronizedList(List list)方法返回一个线程安全的同步列表对象。 ---极客时间评论区大佬总结
2. 对比Hashtable、HashMap、TreeMap有什么不同?
三者均实现了Map接口,存储的内容是基于key-value的键值对映射,一个映射不能有重复的键,一个键最多只能映射一个值。
\
1. 元素特性
HashTable中的key、value都不能为null;HashMap中的key、value可以为null,很显然只能有一个key为null的键值对,但是允许有多个值为null的键值对;TreeMap中当未实现 Comparator 接口时,key 不可以为null;当实现 Comparator 接口时,若未对null情况进行判断,则key不可以为null,反之亦然。
\
2. 顺序特性
HashTable、HashMap具有无序特性。TreeMap是利用红黑树来实现的(树中的每个节点的值,都会大于或等于它的左子树种的所有节点的值,并且小于或等于它的右子树中的所有节点的值),实现了SortMap接口,能够对保存的记录根据键进行排序。所以一般需要排序的情况下是选择TreeMap来进行,默认为升序排序方式(深度优先搜索),可自定义实现Comparator接口实现排序方式。
\
3. 初始化与增长方式
初始化时:HashTable在不指定容量的情况下的默认容量为11,且不要求底层数组的容量一定要为2的整数次幂;HashMap默认容量为16,且要求容量一定为2的整数次幂。
扩容时:Hashtable将容量变为原来的2倍加1;HashMap扩容将容量变为原来的2倍。
\
4. 线程安全性
HashTable其方法函数都是同步的(采用synchronized修饰),不会出现两个线程同时对数据进行操作的情况,因此保证了线程安全性。也正因为如此,在多线程运行环境下效率表现非常低下。因为当一个线程访问HashTable的同步方法时,其他线程也访问同步方法就会进入阻塞状态。比如当一个线程在添加数据时候,另外一个线程即使执行获取其他数据的操作也必须被阻塞,大大降低了程序的运行效率,在新版本中已被废弃,不推荐使用。
HashMap不支持线程的同步,即任一时刻可以有多个线程同时写HashMap;可能会导致数据的不一致。如果需要同步
(1)可以用 Collections的synchronizedMap方法;
(2)使用ConcurrentHashMap类,相较于HashTable锁住的是对象整体, ConcurrentHashMap基于lock实现锁分段技术。首先将Map存放的数据分成一段一段的存储方式,然后给每一段数据分配一把锁,当一个线程占用锁访问其中一个段的数据时,其他段的数据也能被其他线程访问。ConcurrentHashMap不仅保证了多线程运行环境下的数据访问安全性,而且性能上有长足的提升。
\
5. 一段话HashMap
HashMap基于哈希思想,实现对数据的读写。当我们将键值对传递给put()方法时,它调用键对象的hashCode()方法来计算hashcode,让后找到bucket位置来储存值对象。当获取对象时,通过键对象的equals()方法找到正确的键值对,然后返回值对象。HashMap使用链表来解决碰撞问题,当发生碰撞了,对象将会储存在链表的下一个节点中。HashMap在每个链表节点中储存键值对对象。当两个不同的键对象的hashcode相同时,它们会储存在同一个bucket位置的链表中,可通过键对象的equals()方法用来找到键值对。如果链表大小超过阈值(TREEIFY_THRESHOLD, 8),链表就会被改造为树形结构。
---来自极客时间评论区大佬
3. 介绍下 HashMap 的底层数据结构?
HashMap jdk1.7和jdk1.8底层区别
4. ConcurrenHashMap,要讲出 1.7 和 1.8 的区别?
这个小编还不能很好的解释出来,我们还是看一下这个大佬说的吧!!
\
JDK1.7:
首先将数据分为一段一段的存储,然后给每一段数据配一把锁,当一个线程占用锁访问其中一个段数据时,其他段的数据也能被其他线程访问。
\
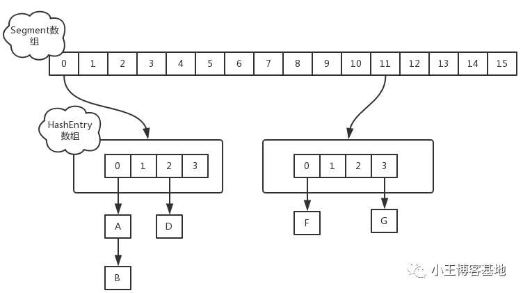
在JDK1.7中,ConcurrentHashMap采用Segment + HashEntry的方式进行实现,结构如下:
\
一个 ConcurrentHashMap 里包含一个 Segment 数组。Segment 的结构和HashMap类似,是一种数组和链表结构,一个 Segment 包含一个 HashEntry 数组,每个 HashEntry 是一个链表结构的元素,每个 Segment 守护着一个HashEntry数组里的元素,当对 HashEntry 数组的数据进行修改时,必须首先获得对应的 Segment的锁。在这里插入图片描述
\
该类包含两个静态内部类 HashEntry 和 Segment ;前者用来封装映射表的键值对,后者用来充当锁的角色;
\
Segment 是一种可重入的锁 ReentrantLock,每个 Segment 守护一个HashEntry 数组里得元素,当对 HashEntry 数组的数据进行修改时,必须首先获得对应的 Segment 锁。
\
JDK1.8:
\
在JDK1.8中,放弃了Segment臃肿的设计,取而代之的是采用Node + CAS + Synchronized来保证并发安全进行实现,synchronized只锁定当前链表或红黑二叉树的首节点,这样只要hash不冲突,就不会产生并发,效率又提升N倍。
\
结构如下:在这里插入图片描述
附加源码,有需要的可以看看
插入元素过程(建议去看看源码):
如果相应位置的Node还没有初始化,则调用CAS插入相应的数据;
else if ((f = tabAt(tab, i = (n - 1) & hash)) == null) {
if (casTabAt(tab, i, null, new Node<K,V>(hash, key, value, null)))
break; // no lock when adding to empty bin
}
如果相应位置的Node不为空,且当前该节点不处于移动状态,则对该节点加synchronized锁,如果该节点的hash不小于0,则遍历链表更新节点或插入新节点;
if (fh >= 0) {
binCount = 1;
for (Node<K,V> e = f;; ++binCount) {
K ek;
if (e.hash == hash &&
((ek = e.key) == key ||
(ek != null && key.equals(ek)))) {
oldVal = e.val;
if (!onlyIfAbsent)
e.val = value;
break;
}
Node<K,V> pred = e;
if ((e = e.next) == null) {
pred.next = new Node<K,V>(hash, key, value, null);
break;
}
}
}
如果该节点是TreeBin类型的节点,说明是红黑树结构,则通过putTreeVal方法往红黑树中插入节点;如果binCount不为0,说明put操作对数据产生了影响,如果当前链表的个数达到8个,则通过treeifyBin方法转化为红黑树,如果oldVal不为空,说明是一次更新操作,没有对元素个数产生影响,则直接返回旧值;
如果插入的是一个新节点,则执行addCount()方法尝试更新元素个数baseCount;
六、MySQL面试题
1. 使用过联合索引?
以联合索引(a,b,c)为例,建立这样的索引相当于建立了索引a、ab、abc三个索引,是按照最左匹配原则,只要遵循就可以使用索引。如果使用b,c索引就会失败,c也会失败!
2. 索引失效情况?
1、最左前缀原则:使用联合索引(a,b,c)查询数据,判断条件需遵循最左原则,根据a查询匹配行,否则索引失效。
\
2、or引起索引失效:where id = 1 or name = '王明';
\
3、模糊查询导致索引失效:where name like '王%';
\
4、使用!= 或者 <> 导致索引失效:where id = 1;
\
5、类型不一致导致的索引失效:name为varchar类型,where name = 123;
\
6、函数导致的索引失效:upper(name)='WANG';
\
7、运算符导致的索引失效:where age - 10 = 18;
3. 怎么查看索引是否生效?
使用EXPLAIN 关键字进行查看:EXPLAIN SELECT * FROM student where id = 100;
在这里插入图片描述
\
参数比较多,我们最主要看type和key就可以了。
\
type:(type属性来源)
依次从好到差:system,const,eq_ref,ref,fulltext,ref_or_null,unique_subquery,index_subquery,range,index_merge,index,ALL,除了all之外,其他的type都可以使用到索引,除了index_merge之外,其他的type只可以用到一个索引
A:system:表中只有一行数据或者是空表,且只能用于myisam和memory表。如果是Innodb引擎表,type列在这个情况通常都是all或者index
B:const:使用唯一索引或者主键,返回记录一定是1行记录的等值where条件时,通常type是const。其他数据库也叫做唯一索引扫描
C:eq_ref:出现在要连接过个表的查询计划中,驱动表只返回一行数据,且这行数据是第二个表的主键或者唯一索引,且必须为not null,唯一索引和主键是多列时,只有所有的列都用作比较时才会出现eq_ref
D:ref:不像eq_ref那样要求连接顺序,也没有主键和唯一索引的要求,只要使用相等条件检索时就可能出现,常见与辅助索引的等值查找。或者多列主键、唯一索引中,使用第一个列之外的列作为等值查找也会出现,总之,返回数据不唯一的等值查找就可能出现。
E:fulltext:全文索引检索,要注意,全文索引的优先级很高,若全文索引和普通索引同时存在时,mysql不管代价,优先选择使用全文索引
F:ref_or_null:与ref方法类似,只是增加了null值的比较。实际用的不多。
G:unique_subquery:用于where中的in形式子查询,子查询返回不重复值唯一值
H:index_subquery:用于in形式子查询使用到了辅助索引或者in常数列表,子查询可能返回重复值,可以使用索引将子查询去重。
I:range:索引范围扫描,常见于使用>,<,is null,between ,in ,like等运算符的查询中。
J:index_merge:表示查询使用了两个以上的索引,最后取交集或者并集,常见and ,or的条件使用了不同的索引,官方排序这个在ref_or_null之后,但是实际上由于要读取所个索引,性能可能大部分时间都不如range
K:index:索引全表扫描,把索引从头到尾扫一遍,常见于使用索引列就可以处理不需要读取数据文件的查询、可以使用索引排序或者分组的查询。
L:all:这个就是全表扫描数据文件,然后再在server层进行过滤返回符合要求的记录。
\
key:
就是此次查询用到的索引!!
4. InnoDB 和 MyISAM 的区别?
| 情况比较 | InnoDB | MyISAM |
|---|---|---|
| MySQL默认引擎 | 5.5版本之后 | 5.1版本之前 |
| 是否支持事务 | 支持 | 不支持 |
| 是否支持外键 | 支持 | 不支持 |
| 锁的粒度 | 最小行级 | 最小表级 |
| 是否保存表的具体行数 | 否 | 是 |
| 是否聚集索引 | 是 | 否 |
写不动了,先暂时写到这里,后面有空继续更新!!
七、Spring面试题
1. Spring bean 的生命周期?
2. JDK 动态代理和 Cglib 代理的区别?
3. Spring 的事务传播行为有哪些?
八、Redis面试题
1. Redis 是单线程还是多线程?
2. Redis 在项目中的使用场景?
3. Redis 常见的数据结构?
4. Redis 的内存淘汰(驱逐)策略?
5. Redis 的持久化机制有哪几种,各自的实现原理和优缺点?
6. 使用过 Redis 做消息队列么?
7. Redis 实现分布式锁?
8. 如何保证数据库和缓存的数据一致性?
9. 说说缓存穿透\缓存击穿\缓存雪崩区别和解决方案?
九、Mybatis面试题
1. Mybatis是如何进行分页的?分页插件的原理是什么?
2. #{}和${}的区别
十、MQ面试题
1. 如何保证消息的消费顺序?
2. 如何保证消息不被重复消费?
3. 如何保证MQ消息的可靠传输?
4. 如何确保消息接收方消费了消息?
5. MQ如何持久化?








