一、前言
在oracle21c版本中,添加了4个有关峰度和偏度的聚合函数,分别是
1.SKEWNESS_POP-总体偏度2.SKEWNESS_SAMP-样本偏度3.KURTOSIS_POP-总体峰度4.KURTOSIS_SAMP-样本峰度
这4个函数与统计学有关,至于有什么用,不是本篇重点,请自行检索相关文献。但要注意的是,目前国内某些百科,由于翻译或者语境的问题,导致相关描述存在问题。如果想对此方面有更详细了解的,建议多搜索一些国外的文章。
二、原公式
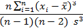
SKEWNESS_SAMP()=
SKEWNESS_POP()=SKEWNESS_SAMP()*(n–2)/SQRT(n(n–1))
KURTOSIS_SAMP()=
KURTOSIS_POP()=(KURTOSIS_SAMP()*(n-2)*(n-3)/(n-1)-6)/(n+1)
其中x̄为平均值,n为项数,s为标准差,SQRT为取平方根
三、Excel公式计算
在微软office的excel中,自带有skew、skew.p、kurt三个函数,金山wps的表格里只有skew、kurt两个。下面我们以SKEWNESS_SAMP(excel里对应skew)为例,来用公式进行模拟计算,看是否和excel中自带函数计算一致。(文末附该演示案例的excel文件下载地址)
1.准备数据
假设我们有一列这样的数据
2
3
-1
3
4
5
0
2
2.计算相关统计值
可以得到其项数n=8,平均值x̄=2.25,标准差s=1.9821, (标准差在各可计算的软件及开发语言中一般都有自带函数,一般名称为stddev,因此不在此做模拟演算,其公式为s=sqrt(((x1-x̄)^2 +(x2-x̄)^2 +......(xn-x̄)^2)/n ))
3.计算每一项与平均值的差
2-2.25= -0.25
3-2.25= 0.75
-1-2.25= -3.25
3-2.25= 0.75
4-2.25= 1.75
5-2.25= 2.75
0-2.25= -2.25
2-2.25= -0.25
4.计算这列差每一项的3次方
-0.25^3=-0.015625
0.75^3= 0.421875
-3.25^3=-34.328125
0.75^3= 0.421875
1.75^3= 5.359375
2.75^3= 20.796875
-2.25^3=-11.390625
-0.25^3=-0.015625
5.将这3次方后的结果求和
得到 -18.75,即SKEWNESS_SAMP公式中最复杂的分子部分
6.除以分母得到最终结果
-18.75/((8-1)*(8-2)*1.9821^3)=-0.4587
7.和excel函数比较
可以发现结果完全一致
8.计算SKEWNESS_POP(即excel中的skew.p)
-0.4587*(8–2)/SQRT(8(8–1))=-0.3677
9.关于KURTOSIS_SAMP和KURTOSIS_POP
请参考文末的excel表格,自行增加下图标黄部分,就当留给读者的课后作业了
D7=(A7-F$9)^4
D15=SUM(D7:D14)
E22=KURT(A7:A14)
E23=F12*(F12+1)*D15/((F12-1)*(F12-2)*(F12-3)*F10^4)-3*(F12-1)^2/((F12-2)*(F12-3))
四、SQL计算
有了上面excel公式模拟作为铺垫后,我们就能用其他程序语言来进行模拟了,这里以sql为例,只为描述逻辑。如果在生产中考虑到内存占用的问题,建议改写成plsql
--注:以下any_value函数为oracle19c新增,更老的版本请改成max或者min
--21c函数
select SKEWNESS_POP(salary), SKEWNESS_SAMP(salary) from hr.employees a;
--sql公式计算
with tt as
(select salary,
count(1) over() ct,
avg(salary) over() av,
stddev(salary) over() st
from hr.employees),
r as
(select any_value(ct) ct,
sum(power((salary - av), 3)) avp,
any_value(power(st, 3)) stp
from tt)
select ct * (avp ((ct - 1) * (ct - 2) * stp)) SKEWNESS_POP_,
ct * (avp ((ct - 1) * (ct - 2) * stp))*(ct-2)/sqrt(ct*(ct-1)) SKEWNESS_SAMP_ from r;
--21c函数
select KURTOSIS_SAMP(salary) ,KURTOSIS_POP(salary) from hr.employees a;
--sql公式计算
with tt as
(select salary,
count(1) over() ct,
avg(salary) over() av,
stddev(salary) over() st
from hr.employees),
r as
(select any_value(ct) ct,
sum(power((salary - av), 4)) avp,
any_value(power(st, 4)) stp
from tt)
select ct * (ct + 1) * avp / ((ct - 1) * (ct - 2) * (ct - 3) * stp) -
3 * power((ct - 1), 2) / ((ct - 2) * (ct - 3)) KURTOSIS_SAMP_,
((ct * (ct + 1) * avp / ((ct - 1) * (ct - 2) * (ct - 3) * stp) -
3 * power((ct - 1), 2) / ((ct - 2) * (ct - 3)))*(ct-2)*(ct-3)/(ct-1)-6)/(ct+1) KURTOSIS_POP_
from r;
SQL执行对比截图
五、将函数移植到其他数据库
比如openGauss(base on postgresql)
代码请参考我的gitee项目 https://gitee.com/darkathena/opengauss-oracle/tree/master/oracle-function
参考资料
1.https://excelmaster.co/skewness-of-data/ (文中的excel文件可在此下载)2.http://www.real-statistics.com/descriptive-statistics/symmetry-skewness-kurtosis/3.https://docs.oracle.com/en/database/oracle/oracle-database/21/sqlrf/KURTOSIS_POP.html
• 本文作者: DarkAthena[1]• 本文链接: https://www.darkathena.top/archives/skew-kurt-sql-excel• 版权声明: 本博客所有文章除特别声明外,均采用CC BY-NC-SA 3.0[2] 许可协议。转载请注明出处!
References
[1]
DarkAthena: https://www.darkathena.top[2]
CC BY-NC-SA 3.0: https://creativecommons.org/licenses/by-nc-sa/3.0/




