系统运维的过程中,每一个细节都值得我们关注
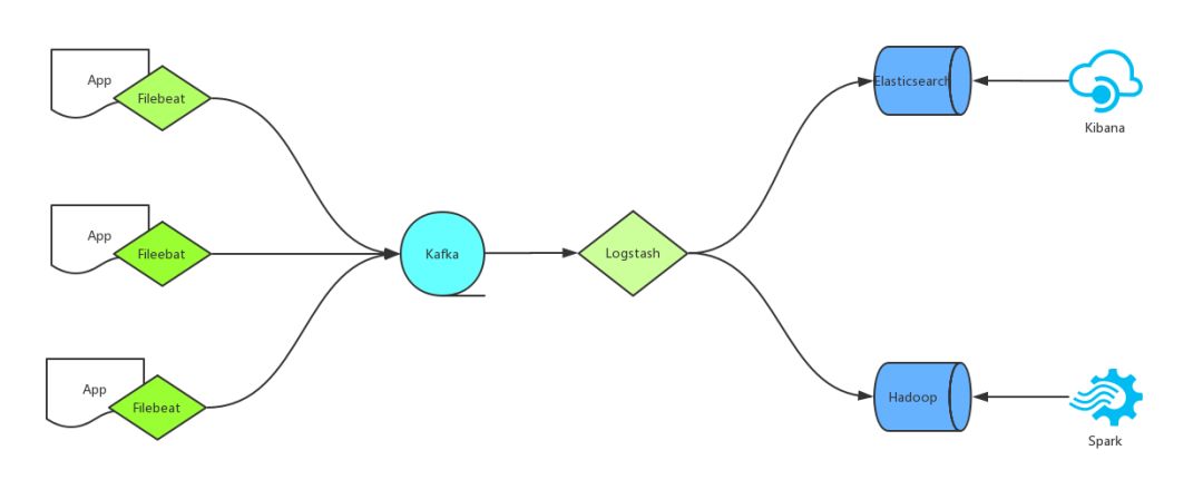
下图为我们的基本日志处理架构

所有日志由Rsyslog或者Filebeat收集,然后传输给Kafka,Logstash作为Consumer消费Kafka里边的数据,分别写入Elasticsearch和Hadoop,最后使用Kibana输出到web端供相关人员查看,或者是由Spark接手进入更深层次的分析
在以上整个架构中,核心的几个组件Kafka、Elasticsearch、Hadoop天生支持高可用,唯独Logstash是不支持的,用单个Logstash去处理日志,不仅存在处理瓶颈更重要的是在整个系统中存在单点的问题,如果Logstash宕机则将会导致整个集群的不可用,后果可想而知
如何解决Logstash的单点问题呢?我们可以借助Kafka的Consumer Group来实现
Kafka Consumer Group

为了便于理解,我么先介绍一下Kafka里边几个重要的角色:
Broker: 一台kafka服务器就是一个broker,一个kafka集群由多个broker组成,上图中的kafka集群有3台kafka服务器组成,也就是有3个broker,一个broker上可以有多个topic
Topic: 是个逻辑上的概念,用来区分不同的消息类别,类似于数据库中的表,可以将一组相同的数据发送给一个Topic,在日志处理中通常会将不同类型的日志写入不同的Topic,例如nginx日志写入名字为nginx_log
的topic,tomcat日志写入名字为tomcat_log
的topic,topic上图中没有标出,我们可以理解为图上的三个partition构成了一个topic
Partition: 是kafka数据存储的基本物理单元,同一个Topic的数据可以被存储在一个或多个partition中,例如上图中的一个topic数据被存储在了partition1,partition2,partition3中,通常我们设置一个topic下partition的数量为broker的整数倍,这样一来数据能够均匀分布,二来可以同时利用集群下的所有服务器资源
Producer: 生产者,向kafka写数据的服务,例如filebeat
Consumer: 消费者,去kafka取数据的服务,例如logstash
Consumer Group: 也是个逻辑上的概念,为一组consumer的集合,同一个topic的数据会广播给不同的group,同一个group中只有一个consumer能拿到这个数据
也就是说对于同一个topic,每个group都可以拿到同样的所有数据,但是数据进入group后只能被其中的一个consumer消费,基于这一点我们只需要启动多个logstsh,并将这些logstash分配在同一个组里边就可以实现logstash的高可用了
input {
kafka {
bootstrap_servers => "10.8.9.2:9092,10.8.9.3:9092,10.8.9.4:9092"
topics => ["ops_coffee_cn"]
group_id => "groupA"
codec => "json"
}
}
以上为logstash消费kafka集群的配置,其中加入了group_id
参数,group_id
是一个的字符串,唯一标识一个group,具有相同group_id
的consumer构成了一个consumer group,这样启动多个logstash进程,只需要保证group_id
一致就能达到logstash高可用的目的,一个logstash挂掉同一Group内的logstash可以继续消费
除了高可用外同一Group内的多个Logstash可以同时消费kafka内topic的数据,从而提高logstash的处理能力,但需要注意的是消费kafka数据时,每个consumer最多只能使用一个partition,当一个Group内consumer的数量大于partition的数量时,只有等于partition个数的consumer能同时消费,其他的consumer处于等待状态
例如一个topic下有3个partition,那么在一个有5个consumer的group中只有3个consumer在同时消费topic的数据,而另外两个consumer处于等待状态,所以想要增加logstash的消费性能,可以适当的增加topic的partition数量,但kafka中partition数量过多也会导致kafka集群故障恢复时间过长,消耗更多的文件句柄与客户端内存等问题,也并不是partition配置越多越好,需要在使用中找到一个平衡
kafka partition
kafka中partition数量可以在创建topic时指定:
# bin/kafka-topics.sh --zookeeper 127.0.0.1:2181 --create --topic ops_coffee --partitions 3
Created topic "ops_coffee".
--partitions: 指定分区数,如果不指定默认会使用配置文件中num.partitions
配置的数量
也可以手动修改partition的数量:
# bin/kafka-topics.sh --alter --zookeeper 127.0.0.1:2181 --partitions 5 --topic ops_coffee
Adding partitions succeeded!
注意partition的数量只能增加不能减少
如果想要知道topic的partition信息,可以通过以下命令查看topic详情:
# bin/kafka-topics.sh --zookeeper 127.0.0.1:2181 --describe --topic ops_coffee
Topic:ops_coffee PartitionCount:3 ReplicationFactor:2 Configs:
Topic: ops_coffee Partition: 0 Leader: 1 Replicas: 1,2 Isr: 1,2
Topic: ops_coffee Partition: 1 Leader: 2 Replicas: 2,3 Isr: 2,3
Topic: ops_coffee Partition: 2 Leader: 3 Replicas: 3,1 Isr: 3,1
至此对kafka consumer group有了更深入的了解,可以在具体的使用中游刃有余





