
Lucene是一种高性能、可伸缩的信息搜索(IR)库,在2000年开源,最初由鼎鼎大名的Doug Cutting开发,是基于Java实现的高性能的开源项目。Lucene采用了基于倒排表的设计原理,可以非常高效地实现文本查找,在底层采用了分段的存储模式,使它在读写时几乎完全避免了锁的出现,大大提升了读写性能。
核心模块
Lucene的写流程和读流程如图1所示。

图1
其中,虚线箭头(a、b、c、d)表示写索引的主要过程,实线箭头(1-9)表示查询的主要过程。
Lucene中的主要模块(见图1)及模块说明如下。
analysis模块:主要负责词法分析及语言处理,也就是我们常说的分词,通过该模块可最终形成存储或者搜索的最小单元Term。
index模块:主要负责索引的创建工作。
store模块:主要负责索引的读写,主要是对文件的一些操作,其主要目的是抽象出和平台文件系统无关的存储。
queryParser:主要负责语法分析,把我们的查询语句生成Lucene底层可以识别的条件。
search模块:主要负责对索引的搜索工作。
similarity模块:主要负责相关性打分和排序的实现。
核心术语
下面介绍Lucene中的核心术语。
Term:是索引里最小的存储和查询单元,对于英文来说一般指一个单词,对于中文来说一般指一个分词后的词。
词典(Term Dictionary,也叫作字典):是Term的集合。词典的数据结构可以有很多种,每种都有自己的优缺点,比如:排序数组通过二分查找来检索数据;HashMap(哈希表)比排序数组的检索速度更快,但是会浪费存储空间;fst(finite-state transducer)有更高的数据压缩率和查询效率,因为词典是常驻内存的,而fst有很好的压缩率,所以fst在Lucene的新版本中有非常多的使用场景,也是默认的词典数据结构。
倒排表(Posting List):一篇文章通常由多个词组成,倒排表记录的是某个词在哪些文章中出现过。
正向信息:原始的文档信息,可以用来做排序、聚合、展示等。
段(segment):索引中最小的独立存储单元。一个索引文件由一个或者多个段组成。在Lucene中的段有不变性,也就是说段一旦生成,在其上只能有读操作,不能有写操作。
Lucene的底层存储格式如图2所示。图5-2由词典和倒排表两部分组成,其中的词典就是Term的集合。词典中的Term指向的文档链表的集合,叫作倒排表。词典和倒排表是Lucene中很重要的两种数据结构,是实现快速检索的重要基石。词典和倒排表是分两部分存储的,在倒排表中不但存储了文档编号,还存储了词频等信息。

图2
在图2所示的词典部分包含三个词条(Term):elasticsearch、lucene和solr。词典数据是查询的入口,所以这部分数据是以fst的形式存储在内存中的。
在倒排表中,“lucene”指向有序链表3,7,15,30,35,67,表示字符串“lucene”在文档编号为3、7、15、30、35、67的文章中出现过,elasticsearch和solr同理。
检索方式
在Lucene的查询过程中的主要检索方式有以下四种。
1.单个词查询
指对一个Term进行查询。比如,若要查找包含字符串“lucene”的文档,则只需在词典中找到Term“lucene”,再获得在倒排表中对应的文档链表即可,如图3所示。

图3
2.AND
指对多个集合求交集。比如,若要查找既包含字符串“lucene”又包含字符串“solr”的文档,则查找步骤如下。
在词典中找到Term“lucene”,得到“lucene”对应的文档链表。
在词典中找到Term“solr”,得到“solr”对应的文档链表。
合并链表,对两个文档链表做交集运算,合并后的结果既包含“lucene”,也包含“solr”。如图4所示。

图4
3.OR
指对多个集合求并集。比如,若要查找包含字符串“lucene”或者包含字符串“solr”的文档,则查找步骤如下。
在词典中找到Term“lucene”,得到“lucene”对应的文档链表。
在词典中找到Term“solr”,得到“solr”对应的文档链表。
合并链表,对两个文档链表做并集运算,合并后的结果包含“lucene”或者包含“solr”,如图5所示。

图5
4.NOT
指对多个集合求差集。比如,若要查找包含字符串“solr”但不包含字符串“lucene”的文档,则查找步骤如下。
在词典中找到Term“lucene”,得到“lucene”对应的文档链表。
在词典中找到Term“solr”,得到“solr”对应的文档链表。
合并链表,对两个文档链表做差集运算,用包含“solr”的文档集减去包含“lucene”的文档集,运算后的结果就是包含“solr”但不包含“lucene”,如图6所示。

图6
通过上述四种查询方式,我们不难发现,由于Lucene是以倒排表的形式存储的,所以在Lucene的查找过程中只需在词典中找到这些Term,根据Term获得文档链表,然后根据具体的查询条件对链表进行交、并、差等操作,就可以准确地查到我们想要的结果,相对于在关系型数据库中的“like”查找要做全表扫描来说,这种思路是非常高效的。虽然在索引创建时要做很多工作,但这种一次生成、多次使用的思路也是非常高明的。
分段存储
在早期的全文检索中为整个文档集合建立了一个很大的倒排索引,并将其写入磁盘中,如果索引有更新,就需要重新全量创建一个索引来替换原来的索引。这种方式在数据量很大时效率很低,并且由于创建一次索引的成本很高,所以对数据的更新不能过于频繁,也就不能保证时效性。
现在,在搜索中引入了段的概念(将一个索引文件拆分为多个子文件,则每个子文件叫作段),每个段都是一个独立的可被搜索的数据集,并且段具有不变性,一旦索引的数据被写入硬盘,就不可再修改。
在分段的思想下,对数据写操作的过程如下。
新增。当有新的数据需要创建索引时,由于段的不变性,所以选择新建一个段来存储新增的数据。
删除。当需要删除数据时,由于数据所在的段只可读,不可写,所以Lucene在索引文件下新增了一个.del的文件,用来专门存储被删除的数据id。当查询时,被删除的数据还是可以被查到的,只是在进行文档链表合并时,才把已经删除的数据过滤掉。被删除的数据在进行段合并时才会真正被移除。
更新。更新的操作其实就是删除和新增的组合,先在.del文件中记录旧数据,再在新段中添加一条更新后的数据。
段不变性的优点如下。
不需要锁。因为数据不会更新,所以不用考虑多线程下的读写不一致情况。
可以常驻内存。段在被加载到内存后,由于具有不变性,所以只要内存的空间足够大,就可以长时间驻存,大部分查询请求会直接访问内存,而不需要访问磁盘,使得查询的性能有很大的提升。
缓存友好。在段的声明周期内始终有效,不需要在每次数据更新时被重建。
增量创建。分段可以做到增量创建索引,可以轻量级地对数据进行更新,由于每次创建的成本很低,所以可以频繁地更新数据,使系统接近实时更新。
段不变性的缺点如下。
当对数据进行删除时,旧数据不会被马上删除,而是在.del文件中被标记为删除。而旧数据只能等到段更新时才能真正被移除,这样会有大量的空间浪费。
更新。更新数据由删除和新增这两个动作组成。若有一条数据频繁更新,则会有大量的空间浪费。
由于索引具有不变性,所以每次新增数据时,都需要新增一个段来存储数据。当段的数量太多时,对服务器的资源(如文件句柄)的消耗会非常大,查询的性能也会受到影响。
在查询后需要对已经删除的旧数据进行过滤,这增加了查询的负担。
为了提升写的性能,Lucene并没有每新增一条数据就增加一个段,而是采用延迟写的策略,每当有新增的数据时,就将其先写入内存中,然后批量写入磁盘中。若有一个段被写到硬盘,就会生成一个提交点,提交点就是一个用来记录所有提交后的段信息的文件。一个段一旦拥有了提交点,就说明这个段只有读的权限,失去了写的权限;相反,当段在内存中时,就只有写数据的权限,而不具备读数据的权限,所以也就不能被检索了。从严格意义上来说,Lucene或者Elasticsearch并不能被称为实时的搜索引擎,只能被称为准实时的搜索引擎。
写索引的流程如下。
新数据被写入时,并没有被直接写到硬盘中,而是被暂时写到内存中。Lucene默认是一秒钟,或者当内存中的数据量达到一定阶段时,再批量提交到磁盘中,当然,默认的时间和数据量的大小是可以通过参数控制的。通过延时写的策略,可以减少数据往磁盘上写的次数,从而提升整体的写入性能。如图7所示。
在达到触发条件以后,会将内存中缓存的数据一次性写入磁盘中,并生成提交点。
清空内存,等待新的数据写入。如图8所示。

图7

图8
从上述流程可以看出,数据先被暂时缓存在内存中,在达到一定的条件再被一次性写入硬盘中,这种做法可以大大提升数据写入的速度。但是,由于数据先被暂时存放在内存中,并没有真正持久化到磁盘中,所以如果这时出现断电等不可控的情况,就会丢失数据,为此,Elasticsearch添加了事务日志,来保证数据的安全,参见5.2.3节。
段合并策略
虽然分段比每次都全量创建索引有更高的效率,但由于在每次新增数据时都会新增一个段,所以经过长时间的积累,会导致在索引中存在大量的段,当索引中段的数量太多时,不仅会严重消耗服务器的资源,还会影响检索的性能。
因为索引检索的过程是:查询所有段中满足查询条件的数据,然后对每个段里查询的结果集进行合并,所以为了控制索引里段的数量,我们必须定期进行段合并操作。但是如果每次合并全部的段,则将造成很大的资源浪费,特别是“大段”的合并。所以Lucene现在的段合并思路是:根据段的大小先将段进行分组,再将属于同一组的段进行合并。但是由于对超级大的段的合并需要消耗更多的资源,所以Lucene会在段的大小达到一定规模,或者段里面的数据量达到一定条数时,不会再进行合并。所以Lucene的段合并主要集中在对中小段的合并上,这样既可以避免对大段进行合并时消耗过多的服务器资源,也可以很好地控制索引中段的数量。
段合并的主要参数如下。
mergeFactor:每次合并时参与合并的段的最少数量,当同一组的段的数量达到此值时开始合并,如果小于此值则不合并,这样做可以减少段合并的频率,其默认值为10。
SegmentSize:指段的实际大小,单位为字节。
minMergeSize:小于这个值的段会被分到一组,这样可以加速小片段的合并。
maxMergeSize:若一个段的文本数量大于此值,就不再参与合并,因为大段合并会消耗更多的资源。
段合并相关的动作主要有以下两个。
对索引中的段进行分组,把大小相近的段分到一组,主要由LogMergePolicyl类来处理。
将属于同一分组的段合并成一个更大的段。
在段合并前对段的大小进行了标准化处理,通过logMergeFactorSegmentSize
计算得出,其中,MergeFactor表示一次合并的段的数量,Lucene默认该数量为10;SegmentSize表示段的实际大小。通过上面的公式计算后,段的大小更加紧凑,对后续的分组更加友好。
段分组的步骤如下。
根据段生成的时间对段进行排序,然后根据上述标准化公式计算每个段的大小并且存放到段信息中,后面用到的描述段大小的值都是标准化后的值。如图9所示。
在数组中找到最大的段,然后生成一个由最大段的标准化值作为上限,减去LEVEL_LOG_SPAN(默认值为0.75)后的值作为下限的区间。小于等于上限并且大于下限的段,都被认为是属于同一个组的段,可以合并。

图9
在确定一个分组的上下限值后,就需要查找属于这个分组的段了,具体过程是:创建两个指针(在这里使用指针的概念是为了更好地理解)start和end,start指向数组的第1个段,end指向第start+MergeFactor个段,然后从end逐个向前查找落在区间的段,当找到第1个满足条件的段时,则停止,并把当前段到start之间的段统一分到一个组,无论段的大小是否满足当前分组的条件。如图10所示,第2个段明显小于该分组的下限,但还是被分到了这一组。

图10
这样做的好处如下。
1)增加段合并的概率,避免由于段的大小参差不齐导致段难以合并。
2)简化了查找的逻辑,使代码的运行效率更高。
在分组找到后,需要排除不参加合并的“超大”段,然后判断剩余的段是否满足合并的条件,如图5-10所示,mergeFactor=5,而找到的满足合并条件的段的个数为4,所以不满足合并的条件,暂时不进行合并,继续寻找下一个分组的上下限。
由于在第4步并没有找到满足段合并的段的数量,所以这一分组的段不满足合并的条件,继续进行下一分组段的查找。具体过程是:将start指向end,在剩下的段(从end指向的元素开始到数组的最后一个元素)中寻找最大的段,在找到最大的值后再减去LEVEL_LOG_SPAN的值,再生成一个分组的区间值;然后把end指向数组的第start+MergeFactor个段,逐个向前查找第1个满足条件的段;重复第3步和第4步。
如果一直没有找到满足合并条件的段,则一直重复第5步,直到遍历完整个数组。如图11所示。

图11
在找到满足条件的mergeFactor个段时,就需要开始合并了。但是在满足合并条件的段大于mergeFactor时,就需要进行多次合并,也就是说每次依然选择mergeFactor个段进行合并,直到该分组的所有段合并完成,再进行下一分组的查找合并操作。
通过上述几步,如果找到了满足合并要求的段,则将会进行段的合并操作。因为索引里面包含了正向信息和反向信息,所以段合并的操作分为两部分:一个是正向信息合并,例如存储域、词向量、标准化因子等;一个是反向信息的合并,例如词典、倒排表等。在段合并时,除了需要对索引数据进行合并,还需要移除段中已经删除的数据。
注:关于段合并的更多内容,可参考博客园“刘超觉先”的相关博客。
Lucene相似度打分
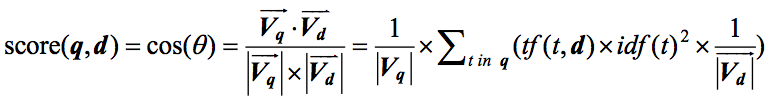
我们在前面了解到,Lucene的查询过程是:首先在词典中查找每个Term,根据Term获得每个Term所存在的文档链表;然后根据查询条件对链表做交、并、差等操作,链表合并后的结果集就是我们要查找的数据。这样做可以完全避免对关系型数据库进行全表扫描,可以大大提升查询效率。但是,当我们一次查询出很多数据时,这些数据和我们的查询条件又有多大关系呢?其文本相似度是多少呢?本节会回答这两个问题,并介绍Lucene最经典的两个文本相似度算法:基于向量空间模型的算法和基于概率的算法(BM25)。
如果对此算法不太感兴趣,那么只需了解对文本相似度有影响的因子有哪些,哪些是正向的、哪些是逆向的即可,不需要理解每个算法的推理过程。但是这两个文本相似度算法有很好的借鉴意义。
1.文本相似度的主要影响因子
文本相似度的主要影响因子如下。
tf(termfrequency):指某个词在文档中出现的次数,其值越大,就可认为这篇文章描述的内容与该词越相近,相似度得分就越高。在Lucene中的计算公式为:

其中,t表示Term,d表示文档。
df(inversedocument frequency):这是一个逆向的指标,表示在整个文档集合中包含某个词的文档数量越少,这个词便越重要。公式为:
idf(t) = 1+Log(docCount/(docFreq+1))
其中,docCount表示索引中的文档总数,docFreq表示包含Term t的文档数,分母中docFreq+1是为了防止分母为0。
Length:这也是一个逆向的指标,表示在同等条件下,搜索词所在文档的长度越长,搜索词和文档的相似度就越低;文档的长度越短,相似度就越高。例如“lucene”出现在一篇包含10个字的文档中和一篇包含10000个字的文档中,那么我们可以认为10个字的那篇文章与“lucene”更相关。
Lucene为了更好地调节相似度得分,增加了以下几种boost值。
term boost:查询在语句中每个词的权重,可以在查询中设定某些词更重要。
document boost:文档的权重,在创建索引时设置某些文档比其他文档更重要。比如我国某大型搜索引擎网站可以将其域名下网站的boost值设置得比其他网站的大一些,当有查询过来时,其域名下的网站就会有更好的排名。
field boost:域的权重,就是字段的权重,表明某些字段比其他字段更重要。比如,在有标题和正文的网站中,命中标题要比命中正文重要得多。
query boost():查询条件的权重,在复合查询时使用,这种用法不常见。
2.基于向量空间模型
向量空间模型(Vector SpaceModel,VSM)的主要思路是把文本信息映射到空间向量中,形成文本信息和向量数据的映射关系,然后通过计算几个或者多个不同的向量的差异,来计算文本的相似度。
如图12所示有两个文本query和document,在query中包含两个Term 1和1个Term 2,在document中包含1个Term 1和4个Term 2。

图12
根据每个Term在每个文本中出现的次数,我们可以把文本信息映射到空间向量中,形成文本信息和向量数据的映射关系,也就是根据两个文档query和document生成query(以下简称q)和document(以下简称d)这两个向量,而向量q和向量d之间的夹角描述了它们之间的相似度,夹角越小就越相似,如果q和d完全相同,则其夹角为0。
如图12所示的是只有两个Term时的情形,但是一篇文档通常由很多Term组成,所以我们把二维的情形推广到N维也是可行的,两个向量之间的夹角依然可以表示两个文档的相似度,夹角越小就越相似,如图13所示。

图13
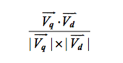
我们根据两个向量之间的夹角求两个文本的相似度,文本越相似,它们之间的夹角就越小,因为余弦的性质是夹角越小,余弦值越大。所以,我们可以把求两个文本相似度的问题转换为求两个向量余弦值的问题。余弦值的问题又可以通过点积的形式表示,根据向量余弦的公式可以得到如下公式:

其中,
score(q,d)表示向量q和d的相似度。
表示两个向量的夹角θ的余弦值。
所以向量q和向量d的夹角余弦的具体计算为:

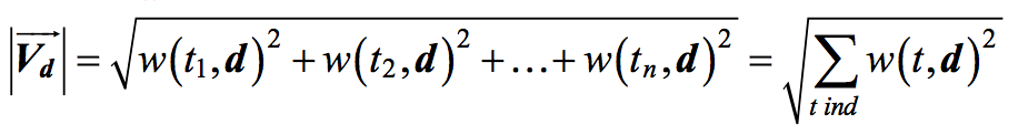
其中,分母中的|Vq|表示向量q的模长,|Vd|表示向量d的模长;分子部分的Vq•Vd表示向量q和向量d的点积。
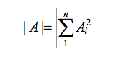
如果有两个向量A和B,其中向量A = (A1,A2,...,An),B = (B1,B2,...,Bn),则向量的模长就是把向量中的各个元素的平方相加再开根号,即

向量的点积就是将两个向量中的各个元素相乘再相加,即

文档是由词(Term)组成的,但是在一篇文章中各个词对这篇文章的贡献是不一样的,所以我们在做点积计算前先了解一下词权重。词权重用于描述一个词在一篇文章中的价值,常用的计算方法是tf ×idf,它是一种非常优秀的思想,经常出现在文本处理的各个领域中。
因为无论是查询语句还是具体的文档,都是由多个Term组成的,所以查询向量和文档向量可以写成如下形式。
查询向量:Vq = < W (t1, q),W (t2, q), ……, W (tn,q)>。
文档向量:Vd = < W (t1, d),W (t2, d), ……, W (tn,d)>。
其中,W(ti,q)表示ti在query里的权重,W(ti,d)表示ti在doucument里的权重,W代表词的权重,公式为tf ×idf。
由向量乘积的公式可以得出:
VqVd = W(t1,q)×W(t1, d) + …… +W(tn,q)×W(tn, d)
由于W=tf ×idf,所以可得出:
Vq﹒Vd=tf(t1, q)×idf(t1,q)×tf(t1, d)×idf(t1,d) + …… + tf(tn ,q)×idf(tn,q)×tf(tn, d) ×idf(tn, d)
但是在查询时,我们很少会输入多个同样的查找词,所以这里可以假设tf(ti, q)永远都等于1。
我们由idf的定义可知,idf表示的是一个全局的变量,所以一个Term无论是出现在query中,还是出现在document中,值是一样的,所以idf(ti,d)= idf(ti,q)=idf(ti)。idf(ti)表示ti的idf值,它与具体出现在查询中还是文档中没有关系,它是索引文件中的一个全局数据。
因为有tf(ti, q)=1和idf(ti,d)= idf(ti, q)=idf(ti),所以
Vq﹒Vd=tf(t1, q)×idf(t1,q)×tf(t1, d)×idf(t1,d) + …… + tf(tn ,q)×idf(tn,q)×tf(tn, d)×idf(tn,d)
可以简化为:
Vq﹒Vd= tf(t1, d)×idf(t1)×idf(t1)+ …… + tf(tn, d)×idf(tn)×idf(tn)
公式

可以变为:

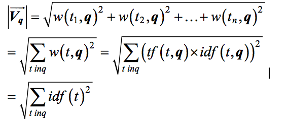
下面进行|Vq|的推理。因为tf(ti,q)=1,所以推理如下:

接着进行|Vd|的推理。由向量模长的公式可得:

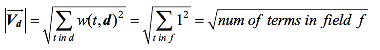
在Lucene的空间向量模型的实现类DefaultSimilarity中,认为在计算文档的向量模长时,每个Term的权重就不需要在考虑了,即w(ti,d)=1,只考虑Term在文档的几个Field中出现。
所以向量d的模长公式|Vd|可以简化为:

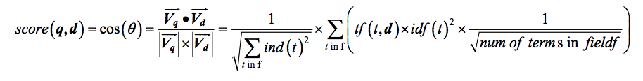
基于空间向量模型的最终公式就是:

在相似度打分公式中在加入boost后,公式变成:

其中,
coord(q,d) =hitTermNum/queryTermNum。hitTermNum是文档d中包含查询词的个数。queryTermNum是查询语句中包含的Term的个数。比如在文档“elastic is a good project”中检索“lucene elastic”,因为匹配了elastic,没有匹配lucene,所以hitTermNum=1,queryTermNum=2,coord(q,d)=1/2。
queryNorm是在|Vq|的基础上添加了query Boost和term boost:

norm(t,d)的计算公式为

空间向量模型是一种很优秀的思路,也是Lucene早期版本默认的相似度算法模型,也在很多搜索项目中被用到。
3.基于概率的模型
BM25算法是根据BIM(Binary independentModel,二元独立模型)算法改进而来的,二元独立模型做了两个假设。
二元假设,指一个词和文档的关系只有两种:1,相关;2,不相关。不考虑其他因素。
词的独立性假设,指文档里词和词之间没有任何关联,任意一个词在文档中的分布概率不依赖于其他单词或者文档。
而BM25算法是在BIM算法的基础上添加了词的权重和两个经验参数,到目前为止是很优秀的排名算法。现在Elasticsearch默认的打分算法已经由原来的向量空间模型变成了BM25。
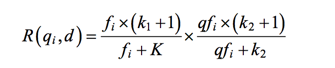
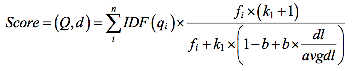
BM25的计算公式主要分为两大部分:Wi是第i个词的权重;R(qi,d)是每个词和文档的相关度值,其中qi代表查询语句中的第i个词,d代表相关的文档。
一个包含n个词的查询语句Q和文档d的BM25算法公式为:

其中Wi的值是一个词的idf值,公式如下,这个公式是由BIM模型推理得出的:

其中,N是文档的总数,n(qi)是包含该词的文档数,0.5是为了避免n(qi)为0,导致分母为零。
由公式可知n(qi)越小,分子部分就越大,分母部分就越小,所以IDF值就越大,log用于让IDF的值受n(qi)的影响更加平滑。该公式虽然与向量空间模型的idf算法不太一样,但同样体现了一个词的重要程度和其出现在文档中的数量成反比这一思想。

其中

fi表示第i个词在文档中出现的次数(类似于空间向量模型里的TF),qfi表示第i个词在查询语句出现的次数。
同向量空间模型中的思路一样,在一个查询语句中很少会有一个词出现多次,所以我们认为qfi永远为1,这样qfi(k2+1)/(qfi+k2)就等于1了。
最终,BM25算法的公式如下:

对其中的参数说明如下。
IDF(qi):词的重要程度和其出现在文档中的数量成反比,包含该词的文档数越多,idf值就越小。
fi:fi表示第i个词在文档中出现的次数,fi的值越大,得分就越高。
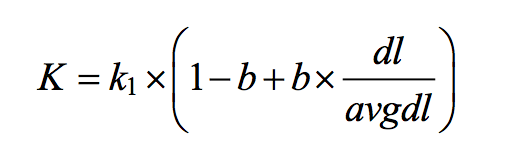
dl:表示文档的长度,文档越长,得分就越低
avgdl:表示文档的平均长度,随着索引的增、删、改,这个值是实时变化的。
k1:表示调节因子,调节词频对得分的影响,k1越大,表示词频对得分的影响越大,在k1=0的极限情况下,词频特征失效。默认值为1.2。
b:表示调节因子,调节字段长度对得分的影响,b越大,表示对文档长度的惩罚越大,在k=0的极限情况下,忽略文档长度的影响。默认值为0.75。
本文节选自即将出版的《可伸缩服务架构:框架与中间件》一书,作者:李艳鹏、杨彪、李海亮、贾博岩、刘淏。
点击文末原文链接可以直达《可伸缩服务架构:框架与中间件》书籍主页。



- End -





