
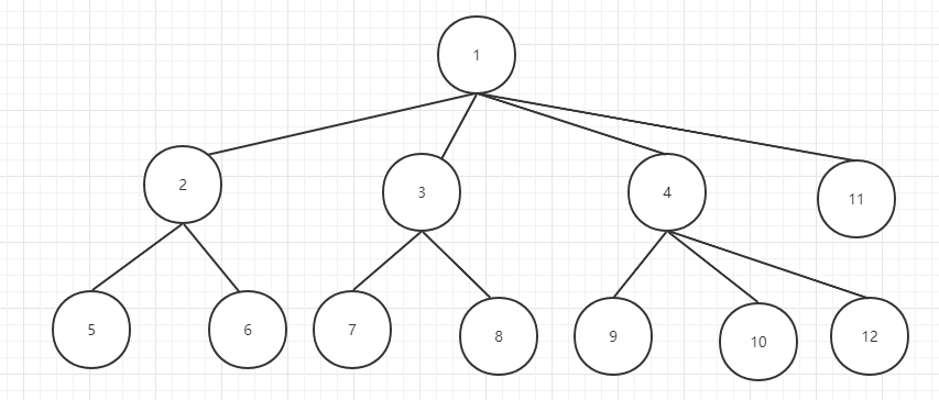
假设有这样一棵树
要得到这样的结果
id 所有子路径
1 1,2,3,4,11,5,6,7,8,9,10,12
2 2,5,6
3 3,7,8
4 4,9,10,12
5 5
6 6
7 7
8 8
9 9
10 10
12 12
11 11
通过SQL该怎么实现呢
创建测试用例
create table test_1
(id int,
parid int);
insert into test_1 values
(1,0),(2,1),(3,1),(4,1),(5,2),(6,2),(7,3),(8,3),(9,4),(10,4),(12,4),(11,1);
实现语句
select a.id,t.ids ,@a :='' from test_1 as a
left join lateral
(
with RECURSIVE cte as
(select test_1.* from test_1 where id = a.id
union all
select t1.* from test_1 t1 inner join cte t2 on t1.parid = t2.id),
cte1 as
(select @a := concat(@a,id,',')as ids,@b:= @b +1 as roworder from cte,(select @a :='',@b := 0) as tt)
select ids from cte1 order by roworder desc limit 1
) as t on 1=1
执行结果

整体思路是用横向派生表 再用公共表达式递归生成每棵树。最后再变成字符串。
最后修改时间:2022-12-06 16:51:34
「喜欢这篇文章,您的关注和赞赏是给作者最好的鼓励」
关注作者
【版权声明】本文为墨天轮用户原创内容,转载时必须标注文章的来源(墨天轮),文章链接,文章作者等基本信息,否则作者和墨天轮有权追究责任。如果您发现墨天轮中有涉嫌抄袭或者侵权的内容,欢迎发送邮件至:contact@modb.pro进行举报,并提供相关证据,一经查实,墨天轮将立刻删除相关内容。




