勾股定理是平面几何中最重要的定理!它是历史上第一个将数与形联系起来的定理,开启了论证几何的开端,甚至引发了第一次数学危机,勾股定理的发现使人们加深了对数的理解,发现了无理数。勾股定理也是历史上第一个给出完全解答的不定方程,并引出了费马大定理。而勾股定理的证明目前约有500种,是数学定理中证明方法最多的定理之一。今天我们来分享几种证明方法,从证明方法中感受勾股定理的魅力,加深对勾股定理的理解。反正我是只消化了几种,哈哈。
方法一:赵爽弦图证法

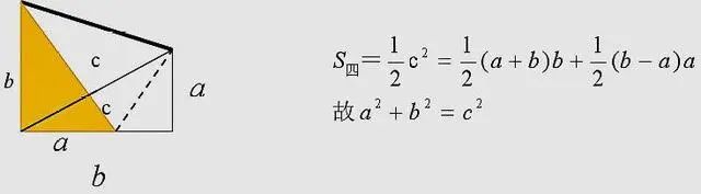
方法二:毕达哥拉斯证法

方法三:书本证明方法

法四:利用三角形相似推导

方法五:切割线定理证明

方法六:托勒密定理证明

方法七:利用切线长定理

方法八:总统证法

方法九:八法变式

方法十和方法十一:

总结:上述方法是非常常见的方法,当然同学们可以总结出,用到最多的还是面积法,对于面积法无论证明方法如何变化,图形如何变化,方法都有一种熟悉感。同时,还有很多其它与圆相关的定理应用,要理解它们,同学们要掌握更多的相关知识。以下方法,只展示图片,同学们可以自行感悟。
方法十二:

方法十三:面积法

方法十四:拼接法1

方法十五:拼接法2

方法十六:射影定理

方法十七:余弦定理,当90度角时

方法十八:达芬奇的证明

方法十九:行列式

方法二十:无穷级数证明法

方法二十一:高斯公式证明



















文章转载自杨建荣的学习笔记,如果涉嫌侵权,请发送邮件至:contact@modb.pro进行举报,并提供相关证据,一经查实,墨天轮将立刻删除相关内容。




