



,同时避免泄漏𝛽i到Fj (𝑗≠𝑖)。
与k,不泄露
或𝛽i到任意Fj (𝑗≠𝑖)。
, 该算子计算所有筒仓的空间对象的并集,不暴露每个o∈Si的所有权给Fj(𝑗≠𝑖)。



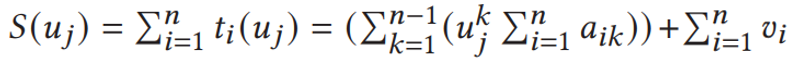
和计算𝑛个值的多项式,ti(u1)…,ti(un),其中aik为筒仓Fi独立产生的随机系数,vi为筒仓Fi的局部计数结果。这些变量仅保存在Fi中,对其他人不可见。之后,每个筒仓Fi将多项式tj(uj)的值发送给所有其他Fi (i≠j)。当任何筒仓Fi从其他筒仓接收所有{ tj(uj)|i≠j}时:
而不是
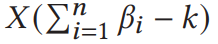
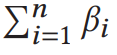
,其中𝑋是一个随机的正实数,因为后者的结果暴露了
的值。因此,我们将安全比较简化为经典的安全乘法,采用现有的安全乘法协议来保证安全性。安全乘法协议需要两个乘数𝑥和𝑦都分为𝑛股
,
,每一股分配到筒仓,例如:xi和yi的筒仓为Fi。该协议可以保护𝑋,𝑌,xi,yi的值免受所有𝑛筒仓中的攻击者的攻击。在我们的简化中,Y =
,
于每个筒仓已经知道其本地结果
,所以用户只向所有筒仓发送𝑘𝑛。之后,每个筒仓随机生成一个正实数xi,计算


本文作者 唐永昕 | ![]() |
文章转载自时空实验室,如果涉嫌侵权,请发送邮件至:contact@modb.pro进行举报,并提供相关证据,一经查实,墨天轮将立刻删除相关内容。





