
本文讨论总体参数的点估计。
设总体X的分布类型已知,但它的一个或多个参数未知,借助总体X的一个样本来估计总体的未知参数称为参数的点估计。
【例19.1】某炸药制造厂一天中发生着火现象的次数X是一个随机变量,假设它服从以λ>0为参数的泊松分布,参数λ未知。现有以下的样本值,如表19.1所示。
■ 表19.1

试估计参数λ。
解 由于X服从参数为λ的泊松分布,有λ=E(X)。用样本均值估计总体均值,可得λ的估计值,代码如下:


运行结果如图19.1所示。

■ 图19.1
注释/
np.dot(k,n_k)指k与n_k的点积。
矩估计法
用样本矩估计相应的总体矩,或用样本矩的连续函数估计相应总体矩的连续函数,这种方法称为矩估计法。
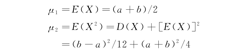
【例19.2】设总体X在[a,b]上服从均匀分布,a,b未知。X1,X2,…,Xn是来自X的样本,试求a,b的矩估计量。
解

从方程组中解出a与b,代码如下:

运行结果如图19.2所示。

■ 图19.2
注释/
由题可知,b>a。故这里从solve()返回的两组解中挑选出了符合实际情况的一种,即索引[0]。
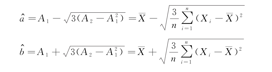
以样本一阶矩A1,二阶矩A2,分别代替总体一、二阶矩μ1与μ2,即可得到a与b的矩估计量:

这里
是样本的二阶中心矩。
取a=5,b=10,检验矩估计法,代码如下:

运行结果如图19.3所示。

■ 图19.3
注释/
scipy中的moment()可用于求中心矩,其中参数moment=2,指明所求中心矩的阶为2。
从上述输出结果来看,a,b的矩估计值与真值相差无几。
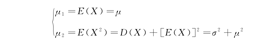
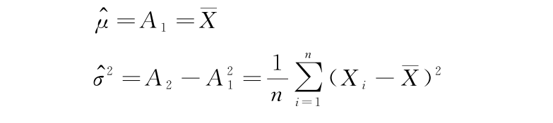
【例19.3】设总体X的均值μ及方差σ2都存在,且有σ2>0,但μ,σ2均为未知。又设X1,X2,…,Xn是来自X的样本。试求μ,σ2的矩估计量。
解

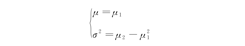
解得

以A1,A2分别代替μ1与μ2,即可得μ及σ2的矩估计量:

例如,假设总体X服从标准正态分布,可计算μ,σ2的矩估计值,代码如下:

运行结果如图19.4所示。

■ 图19.4
最大似然估计法
固定样本观测值x1,x2,…,xn,在未知参数θ取值的可能范围内挑选使似然函数L(x1,x2,…,xn;θ)达到最大值的参数
,作为参数θ的估计值,该方法称为最大似然估计法。
【例19.4】设X:b(1,p),X1,X2,…,Xn是来自X的一个样本,试求参数p的最大似然估计。
解设p的真值为0.3,生成一个容量为10的样本,代码如下:

运行结果如图19.5所示。

■ 图19.5
求该样本下,p的最大似然估计值,代码如下:

运行结果如图19.6所示。

■ 图19.6
注释/
(1) diag([p**X[i]*(1-p)**(1-X[i]) for i in range(len(X))],unpack=True)将列表中的元素作为主对角线元素,返回一个对角阵。
(2) det(A)表示求对角阵A的行列式,即上述列表中所有元素的连乘,构成似然函数。
(3) ln_L.diff(p)指对数似然函数关于p的一阶导数。
从输出结果可以看到,p的最大似然估计值与p的真值相等。
【例19.5】设X:N(μ,σ2),但μ,σ2均未知,x1,x2,…,xn是来自X的一个样本值。试求μ,σ2的最大似然估计。
解取μ与σ的值分别为1,2,生成一组样本,并在该样本下,求两参数的最大似然估计,代码如下:

运行结果如图19.7所示。

■ 图19.7
上述代码的另一种等价形式为:norm.fit(X),结果一样,代码如下:

如图19.8所示。

■ 图19.8
【例19.6】设总体X在[a,b]上服从均匀分布,a,b未知。x1,x2,…,xn是来自X的一个样本值,试求a,b的最大似然估计。

运行结果如图19.9所示。

■ 图19.9
参考书籍

《Python漫游数学王国——高等数学、线性代数、数理统计及运筹学》
ISBN:9787302597797
作者:毕文斌、毛悦悦
定价:128元

内容简介
本书参考高等学校理工科“高等数学”“线性代数”“概率论与数理统计”“运筹学”等课程教学大纲,使用Python语言实现相关计算、图形展示及模型求解,内容包含Python编程语言入门、极限的运算、函数的求导及积分、微分方程求解、级数、行列式计算、线性方程组求解、随机变量及其分布、随机变量的数字特征、参数估计、假设检验、方差分析与回归、线性规划、非线性规划、动态规划、图与网络计划及排队论等。本书内容翔实,文字精练,例题丰富,注重本科数学理论与科学计算的密切结合。本书可以作为高等学校理工科在校本科生的学习实验用书,也可以作为对Python科学计算感兴趣的人员的参考用书。











