暂无图片
暂无图片
暂无图片
暂无图片
暂无图片

算法竞赛系列 | 莫比乌斯函数和莫比乌斯反演

353


初等数论是数学的一个分支,它既古老又现代。最早的数论研究是从素数开始的,2000多年前欧几里得就发现了算术基本定理,即每个正整数可以按递增顺序唯一地写成素数的乘积。现代数论的发展始于高斯,他发明了同余,使研究整除关系时与研究方程一样方便。把素数从合数中分出来是数论的一个关键问题,发展了很多素性检验法;把正整数进行素因子分解是数论中的另一个核心问题;寻求方程的整数解是又一个重要内容。


01

莫比乌斯函数和莫比乌斯反演


本文简单介绍莫比乌斯函数。这个数学概念十分抽象,读者可能困惑莫比乌斯函数是怎么来的,本节将解答这个问题。

1. 莫比乌斯函数的定义和性质

莫比乌斯函数以数学家Möbius的名字命名。莫比乌斯函数是狄利克雷卷积的重要工具,它也是数论和组合数学的重要的积性函数。

莫比乌斯函数μ(n)定义为,其中Pi为不同的素数

举一些例子:μ(1)=1,μ(2)=-1,μ(3)=-1,μ(4)=μ(22)=0,μ(5)=-1,μ(6)=μ(2×3)=1,μ(7)=-1,μ(8)=μ(23)=0,μ(330)=μ(2×3×5×11)=(-1)4=1,μ(660)=μ(22×3×5×11)=0。

莫比乌斯函数μ(n)是积性函数。它有一个与欧拉函数类似的定理。

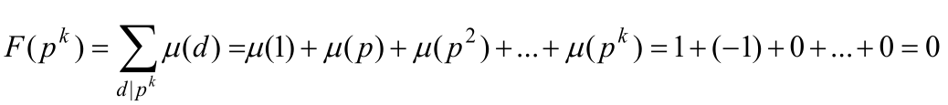
定理6.16.1莫比乌斯函数的和函数在整数n处的值,满足

证明

(1) n=1时,显然有

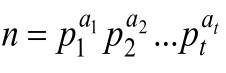
(2) n>1时,根据积性函数的定义,有,其中是质因数分解。如果能证明F(pk)=0,即有F(n)=0。因为当i≥2时,μ(pi)=0,有

下面给出莫比乌斯函数线性筛代码,求1~n内的莫比乌斯函数,与欧拉函数线性筛的代码几乎一样,此处不做解释。

2.  莫比乌斯函数的由来

看到莫比乌斯函数的定义,读者可能感到奇怪,它是怎么来的?有什么用?

下面的内容引用自《初等数论及其应用》第199页,解释了莫比乌斯函数的来龙去脉。

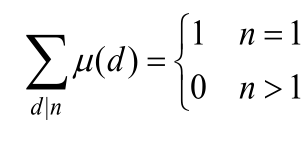
设f为算术函数,f的和函数F的值为,显然,F由f的值决定。这种关系可以反过来吗?也就是说,是否存在一种用F求出f的值的简便方法?本节给出这样的公式,看什么样的公式可行。

若f是算术函数,F是它的和函数,按定义展开F(n),n=1,2,…,8,有


F(1)=f(1)

F(2)=f(1)+f(2)

F(3)=f(1)+f(3)

F(4)=f(1)+f(2)+f(4)

F(5)=f(1)+f(5)

F(6)=f(1)+f(2)+f(3)+f(6)

F(7)=f(1)+f(7)

F(8)=f(1)+f(2)+f(4)+f(8)


根据上述方程,可以解得


f(1)=F(1)

f(2)=F(2)-F(1)

f(3)=F(3)-F(1)

f(4)=F(4)-F(2)

f(5)=F(5)-F(1)

f(6)=F(6)-F(3)-F(2)+F(1)

f(7)=F(7)-F(1)

f(8)=F(8)-F(4)


注意f(n)等于形式为的一些项之和,其中d|n。从这一结果中,可能有这样一个等式,形式为

其中,μ为算术函数。如果等式成立,计算得到μ(1)=1,μ(2)=-1,μ(3)=-1,μ(4)=0,μ(5)=-1,μ(6)=1,μ(7)=-1,μ(8)=0(读者已经发现和前面莫比乌斯函数的值一样)。

又因为F(p)=f(1)+f(p),得f(p)=F(p)-F(1),其中p是素数,则μ(p)=-1。

又因为F(p2)=f(1)+f(p)+f(p2),有f(p2)=F(p2)-(F(p)-F(1))-F(1)=F(p2)-F(p)。

这要求对任意素数p,有μ(p2)=0。类似地,推理得出对任意素数p及整数k>1,有μ(pk)=0。如果猜想μ是积性函数,则μ的值就由质数幂处的值决定。

3. 莫比乌斯反演

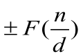
定理6.16.2莫比乌斯反演(Möbius Inversion)公式。若f是算术函数,F为f的和函数,对任意正整数n,满足,则有

从定理6.16.2可以推出定理6.16.3。

定理6.16.3设f是算术函数,它的和函数为。如果F是积性函数,则f也是积性函数。

莫比乌斯反演不需要f是积性函数。运用莫比乌斯反演可以将一些函数转化,从而降低计算难度。




《算法竞赛》系列推文正在连载中,欢迎持续关注!





扫码优惠购书


文章转载自清华计算机学堂,如果涉嫌侵权,请发送邮件至:contact@modb.pro进行举报,并提供相关证据,一经查实,墨天轮将立刻删除相关内容。

评论