
数据结构是数据的组织形式和访问方法,前文介绍了基础数据结构,在基础上发展出了很多高级数据结构,它们原理复杂,编程困难。
为什么需要这么多高级数据结构?这是在特定应用背景下高效处理数据的需要。基础数据结构不够强大,像数组、栈、队列这样的线性结构,计算复杂度为O(n),在面对大量数据时力不从心;二叉树、堆、哈希很高效,但是它们过于简单,在处理很多特定问题时操作不便。高级数据结构与某些应用背景紧密结合,能高效地解决问题。例如,集合问题用并查集;区间问题用树状数组、线段树、分块、莫队算法;混合问题用块状链表;动态查询用平衡树,等等。
本篇介绍Treap树。
Treap树也是一种原理比较简单的BST。Treap是一个合成词,把Tree和Heap各取一半组合而成,Treap是树和堆的结合,通常翻译成树堆。
Treap树的操作基于“键值+优先级”。BST的每个节点上存有一个元素,把元素的值称为“键值”,这是所有BST都有的。除此之外,Treap树为每个节点人为添加了一个称为优先级的权值。对于键值,这棵树是一棵BST;对于优先级,这棵树是一个堆。堆的特征是在这棵树的任意子树上,根节点的优先级最大。对于树上的任意一组节点:父亲fa、左孩子ls、右孩子rs,满足以下两个条件。
(1) 键值(key)满足BST的要求:ls.key≤fa.key≤rs.key。
(2) 优先级(pri)满足堆的要求:fa.pri≥max{ls.pri,rs.pri}。
提示/
Treap树的核心思想是用优先级维护二叉树的平衡性。
Treap树的性质
Treap树的重要性质:若每个节点的键值、优先级已经事先确定而且不同,那么建立的BST的形态是唯一的,与节点的插入顺序没有关系。可以把每个点的(键值,优先级)看作它在平面上的坐标(x,y),坐标确定了它的位置。可简单地概括为节点的键值x限定了它在二叉树上的横向位置,优先级y限定了它的纵向位置。若优先级是随机产生的,那么在概率上就实现了二叉树的平衡。
下面用7个节点举例说明建树过程和Treap树的形态唯一性,如图4.58所示。节点的键值分别为{a,b,c,d,e,f,g},优先级分别为{6,5,2,7,3,4,1}。图4.58(a)的纵向是优先级,横向是键值;图4.58(b)按BST的规则建了一棵树,从堆的角度看,它是一个最大堆(也可以用小根堆);图4.58(c)是形成的Treap树。显然,由于每个节点被键值和优先级确定了位置,Treap树的形态是唯一的。

■ 图4.58Treap树的形态唯一性
需要注意,所谓“Treap树的形态唯一性”,是指已经提前确定所有节点的键值、优先级之后,建的树的形态是唯一的。但是在一般情况下,建Treap树是逐个点加入树上的,每个点的优先级是动态分配的,所以Treap树的最后形态并不能提前预知。不过,当处理完毕之后,这棵Treap树的新形态是确定唯一的。
给节点加上优先级是Treap树解决二叉树平衡的核心思想,合适的优先级能产生一个平衡的BST。如何产生优先级?最简单的方法是对每个节点的优先级进行随机赋值,那么生成的Treap树的形态也是随机的。虽然不能保证生成的Treap树是完美的平衡,但是从概率期望上看,它的插入、删除、查找的时间复杂度都为O(log2n)。
如果预先知道所有节点的键值,那么建树很简单:先按键值排序,然后从键值最小的开始,从左到右逐个向树上加入节点,加入时按优先级(或者已知,或者随机生成)在纵向上调整形态。这就是笛卡儿树,它的建树复杂度为O(n)。
更常见的情况是需要动态加入新的节点,并不能预先知道键值和优先级。做法是每读入一个新键值,为它分配一个随机的优先级,插入树中,插入时动态调整树的结构,使它仍然是一棵Treap树。此时建一棵n个节点的树,复杂度为O(nlog2n)。
如何调整和维护Treap树?有两种方法:①旋转法;②FHQ。两种方法的计算复杂度都为O(log2n)。旋转法是经典方法,FHQ是近几年开始流行的新技术,FHQ不仅比旋转法编码简单,而且能用于区间翻转、移动、持久化等场合。
基于旋转法的Treap树操作
下面用旋转法实现几个基本操作:插入节点、删除节点、排名、第k大、前驱和后继。
1. 插入节点
把新节点k插入Treap树的过程有两步。
(1) 用朴素的插入方法,把k按键值大小插入一个空的叶子节点。
(2) 为k随机分配一个优先级,如果k的优先级违反了堆的性质,即它的优先级比父节点o高,那么让k向上走代替父节点o,得到一棵新的Treap树。
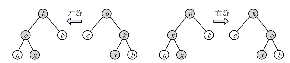
步骤(2)中的调整过程用到了一种技巧——旋转,包括左旋和右旋。观察图4.59,新节点k刚插入时,它有父节点o和子节点x、b。当k旋转到o的上面时,其他节点a、x、b保存原来的相对位置不变,以a、x、b为根的子树也随之同步移动。注意,不管是左旋还是右旋,树的中序遍历保持不变,这是BST的特征。

■ 图4.59Treap树的旋转(把k旋转到根)
旋转法插入节点的代码如下,代码中定义的节点名称o、k与图4.59的节点名称对应。
void rotate(int &o,int d){ //参考图示理解。d=0右旋,d=1左旋int k;if(d == 1) { //左旋,把o的右儿子k旋到根部k = t[o].rs; //rs: rson,右儿子t[o].rs = t[k].ls; //图中的xt[k].ls = o;}else { //右旋,把o的左儿子k旋到根部k = t[o].ls;t[o].ls = t[k].rs; //图中的xt[k].rs = o;}t[k].size = t[o].size;Update(o);o = k; //新的根是k}
下面用一个例子说明插入的过程。设初始BST是{a,b,c},插入新节点d。图4.60(a)是初始BST;图4.60(b)按键值找到空叶子,插入d;图4.60(c)中d的优先级比父节点c高,把c左旋,上升;图4.60(d)中d的优先级比新的父节点b高,继续左旋上升;4.60(e)再次左旋上升,完成了新的Treap树。注意在旋转的过程中,原来的节点a、b、c的相对位置保持不变。

■ 图4.60Treap树的插入和调整
2. 删除节点
如果待删除的节点x是叶子节点,直接删除。如果待删除的节点x有两个子节点,那么找到优先级最大的子节点,把x向相反的方向旋转,也就是把x向树的下层调整,直到x被旋转到叶子节点,然后直接删除。
用旋转法处理Treap树的插入和删除,会不会导致出现一棵不平衡的Treap树?答案是不会,因为Treap的形态完全由留在树上的节点的键值和优先级决定,在概率上它仍然是平衡的。
3. 排名
“排名”和“求第k大数”一般被称为“名次树问题”,是BST的典型应用,在任何一种BST上都容易用递归遍历得到,Treap树也常用来求名次。它们都用到了节点的size值,即以这个节点为根的子树上的节点总数。
求数字x的排名。从根节点开始递归查找,递归到节点u时:若u的键值大于或等于x,x在u的左子树上,继续递归u的左子树;若u的键值小于x,x在u的右子树上,递归u的右子树,并加上u的左子树的size值。
4. 求第k大数
根据节点的size值不断递归整棵树,求得第k大数。
5. 前驱和后继
前驱是求比x小的数,后继是求比x大的数,计算过程与排名的过程类似。
用例4.41洛谷P3369给出Treap树代码,实现上述操作。
//洛谷P3369,用旋转法实现Treap树#include<bits/stdc++.h>using namespace std;const int M=1e6+10;int cnt = 0; //t[cnt]: 最新结点的存储位置struct Node{int ls,rs; //左右儿子int key,pri; // key:键值;pri:随机的优先级int size; //当前结点为根的子树的结点数量,用于求第k大和rank}t[M]; //tree[],存树void newNode(int x){ //初始化一个新结点cnt++; //从t[1]开始存储结点,t[0]被放弃。若子结点是0,表示没有子结点t[cnt].size = 1;t[cnt].ls = t[cnt].rs = 0; //0表示没有子结点t[cnt].key = x; //key: 键值t[cnt].pri = rand(); //pri:随机产生,优先级}void Update(int u){ //更新以u为根的子树的sizet[u].size = t[t[u].ls].size + t[t[u].rs].size+1;}void rotate(int &o,int d){ //旋转,参考图示理解。d=0右旋,d=1左旋int k;if(d==1) { //左旋,把o的右儿子k旋到根部k=t[o].rs;t[o].rs=t[k].ls;//图中的xt[k].ls=o;}else { //右旋,把o的左儿子k旋到根部k=t[o].ls;t[o].ls=t[k].rs; //图中的xt[k].rs=o;}t[k].size=t[o].size;Update(o);o=k; //新的根是k}void Insert(int &u,int x){if(u==0){newNode(x);u=cnt;return;} //递归到了一个空叶子,新建结点t[u].size++;if(x>=t[u].key) Insert(t[u].rs,x); //递归右子树找空叶子,直到插入else Insert(t[u].ls,x); //递归左子树找空叶子,直到插入if(t[u].ls!=0 && t[u].pri>t[t[u].ls].pri) rotate(u,0);if(t[u].rs!=0 && t[u].pri>t[t[u].rs].pri) rotate(u,1);Update(u);}void Del(int &u,int x){t[u].size--;if(t[u].key==x){if(t[u].ls==0&&t[u].rs==0){u=0; return;}if(t[u].ls==0||t[u].rs==0){u=t[u].ls+t[u].rs; return;}if(t[t[u].ls].pri < t[t[u].rs].pri){ rotate(u,0); Del(t[u].rs, x); return;}else{ rotate(u,1); Del(t[u].ls, x); return;}}if(t[u].key>=x) Del(t[u].ls,x);else Del(t[u].rs,x);Update(u);}int Rank(int u,int x){ //排名,x是第几名if(u==0) return 0;if(x>t[u].key) return t[t[u].ls].size+1+Rank(t[u].rs, x);return Rank(t[u].ls,x);}int kth(int u,int k){ //第k大数是几?if(k==t[t[u].ls].size+1) return t[u].key; //这个数为根if(k> t[t[u].ls].size+1) return kth(t[u].rs,k-t[t[u].ls].size-1);//右子树if(k<=t[t[u].ls].size) kth(t[u].ls,k); //左子树}int Precursor(int u,int x){if(u==0) return 0;if(t[u].key>=x) return Precursor(t[u].ls,x);int tmp = Precursor(t[u].rs,x);if(tmp==0) return t[u].key;return tmp;}int Successor(int u,int x){if(u==0) return 0;if(t[u].key<=x) return Successor(t[u].rs,x);int tmp = Successor(t[u].ls,x);if(tmp==0) return t[u].key;return tmp;}int main(){srand(time(NULL));int root = 0; //root是整棵树的树根,0表示初始为空int n; cin>>n;while(n--){int opt,x; cin >> opt >> x;switch (opt){case 1: Insert(root,x); break;case 2: Del(root,x); break;case 3: printf("%d\n",Rank(root,x)+1); break;case 4: printf("%d\n",kth(root,x)); break;case 5: printf("%d\n",Precursor(root,x)); break;case 6: printf("%d\n",Successor(root,x)); break;}}return 0;}
《算法竞赛》系列推文正在连载中,欢迎持续关注!

扫码优惠购书












