原文链接:http://tecdat.cn/?p=17950
在本文中,我们使用了逻辑回归、决策树和随机森林模型来对信用数据集进行分类预测并比较了它们的性能(点击文末“阅读原文”获取完整代码数据)。
数据集是
credit=read.csv("gecredit.csv", header = TRUE, sep = ",")
看起来所有变量都是数字变量,但实际上,大多数都是因子变量,
> str(credit)
'data.frame': 1000 obs. of 21 variables:
$ Creditability : int 1 1 1 1 1 1 1 1 1 1 ...
$ Account.Balance : int 1 1 2 1 1 1 1 1 4 2 ...
$ Duration : int 18 9 12 12 12 10 8 ...
$ Purpose : int 2 0 9 0 0 0 0 0 3 3 ...
相关视频
让我们将分类变量转换为因子变量,
> F=c(1,2,4,5,7,8,9,10,11,12,13,15,16,17,18,19,20)
> for(i in F) credit\[,i\]=as.factor(credit\[,i\])
现在让我们创建比例为1:2 的训练和测试数据集
> i_test=sample(1:nrow(credit),size=333)
> i\_calibration=(1:nrow(credit))\[-i\_test\]
我们可以拟合的第一个模型是对选定协变量的逻辑回归
> LogisticModel <- glm(Creditability ~ Account.Balance + Payment.Status.of.Previous.Credit + Purpose +
Length.of.current.employment +
Sex...Marital.Status, family=binomia
基于该模型,可以绘制ROC曲线并计算AUC(在新的验证数据集上)
> AUCLog1=performance(pred, measure = "auc")@y.values\[\[1\]\]
> cat("AUC: ",AUCLog1,"\\n")
AUC: 0.7340997

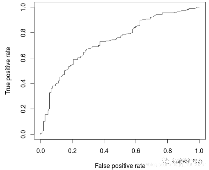
一种替代方法是考虑所有解释变量的逻辑回归
glm(Creditability ~ .,
+ family=binomial,
+ data = credit\[i_calibrat
点击标题查阅往期内容


左右滑动查看更多

我们可能在这里过拟合,可以在ROC曲线上观察到
> perf <- performance(pred, "tpr", "fpr
> AUCLog2=performance(pred, measure = "auc")@y.values\[\[1\]\]
> cat("AUC: ",AUCLog2,"\\n")
AUC: 0.7609792

与以前的模型相比,此处略有改善,后者仅考虑了五个解释变量。
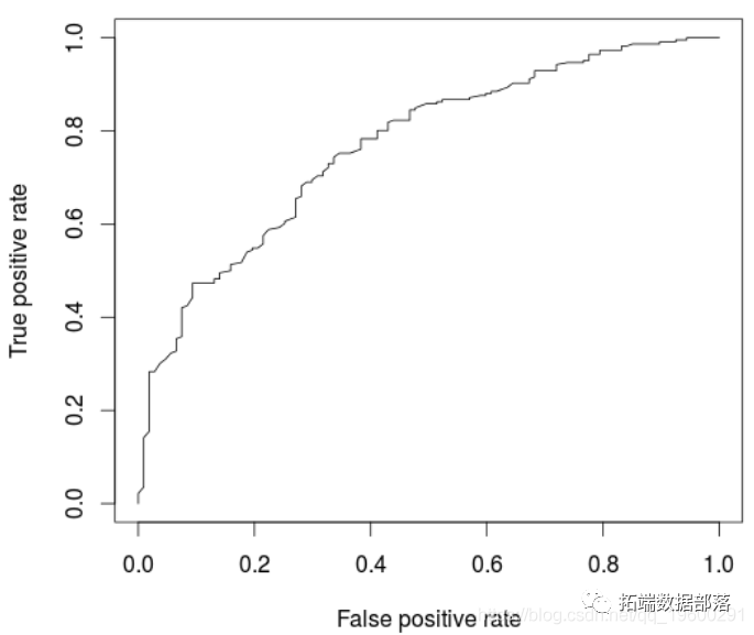
现在考虑回归树模型(在所有协变量上)
我们可以使用
> prp(ArbreModel,type=2,extra=1)

模型的ROC曲线为
(pred, "tpr", "fpr")
> plot(perf)
> cat("AUC: ",AUCArbre,"\\n")
AUC: 0.7100323

不出所料,与逻辑回归相比,模型性能较低。一个自然的想法是使用随机森林优化。
> library(randomForest)
> RF <- randomForest(Creditability ~ .,
+ data = credit\[i_calibration,\])
> fitForet <- predict(RF,
> cat("AUC: ",AUCRF,"\\n")
AUC: 0.7682367

在这里,该模型(略)优于逻辑回归。实际上,如果我们创建很多训练/验证样本并比较AUC,平均而言,随机森林的表现要比逻辑回归好,
> AUCfun=function(i){
+ set.seed(i)
+ i_test=sample(1:nrow(credit),size=333)
+ i\_calibration=(1:nrow(credit))\[-i\_test\]
+ summary(LogisticModel)
+ fitLog <- predict(LogisticModel,type="response",
+ newdata=credit\[i_test,\])
+ library(ROCR)
+ pred = prediction( fitLog, credit$Creditability\[i_test\])
+ RF <- randomForest(Creditability ~ .,
+ data = credit\[i_calibration,\])
+ pred = prediction( fitForet, credit$Creditability\[i_test\])
+ return(c(AUCLog2,AUCRF))
+ }
> plot(t(A))

点击文末“阅读原文”
获取全文完整资料。
本文选自《R语言用逻辑回归、决策树和随机森林对信贷数据集进行分类预测》。
点击标题查阅往期内容



文章转载自拓端数据部落,如果涉嫌侵权,请发送邮件至:contact@modb.pro进行举报,并提供相关证据,一经查实,墨天轮将立刻删除相关内容。








