全文链接:http://tecdat.cn/?p=32046
stratified cox model是针对协变量不满足PHA提出的,这里的思想是对协变量分层(点击文末“阅读原文”获取完整代码数据)。
相关视频
协变量的效果在一个层(部分)里是一样的,即层内没有interaction,效果是常数,这就是Non-interaction assumption。
对于”no interaction“的model,每个层的baseline function都不一样,但指数项系数一致;
查看数据

用kmeans聚类分组
cl=kmeans(data[,c( 3,8:12)],4)

对于同一组别的数据 可以观察其生存曲线以及上下95%的置信区间
survfit
## Call: survfit(formula = my.surv ~ type)
##
## n events median 0.95LCL 0.95UCL
## type=1 36 36 -0.045 -0.42 0.25
## type=2 11 11 -0.080 -0.52 NA
## type=3 59 59 0.230 -0.23 0.71
## type=4 117 117 -0.660 -0.90 -0.29

点击标题查阅往期内容


左右滑动查看更多

估计KM生存曲线
## time n.risk n.event survival std.err lower 95% CI upper 95% CI
## -1.91 212 1 0.995 0.00471 0.986 1.000
## -1.76 207 1 0.990 0.00670 0.977 1.000
## -1.54 192 1 0.985 0.00842 0.969 1.000
## -1.33 187 1 0.980 0.00989 0.961 1.000
## -1.27 182 1 0.975 0.01121 0.953 0.997
## -1.24 181 1 0.969 0.01237 0.945 0.994
## -1.18 178 1 0.964 0.01345 0.938 0.991
## -1.12 173 1 0.958 0.01448 0.930 0.987
## -0.98 163 1 0.952 0.01554 0.922 0.983
## -0.78 149 1 0.946 0.01669 0.914 0.979
## -0.50 127 1 0.939 0.01815 0.904 0.975
## -0.49 125 1 0.931 0.01950 0.894 0.970
## -0.42 122 1 0.923 0.02078 0.884 0.965
## -0.39 119 1 0.916 0.02200 0.874 0.960
## -0.35 116 1 0.908 0.02319 0.863 0.954
## -0.16 104 1 0.899 0.02455 0.852 0.948
## -0.13 101 1 0.890 0.02587 0.841 0.942
## -0.07 99 1 0.881 0.02713 0.830 0.936
## -0.02 94 1 0.872 0.02841 0.818 0.929
## 0.04 91 1 0.862 0.02967 0.806 0.922
## 0.06 90 3 0.833 0.03300 0.771 0.901
## 0.22 77 1 0.823 0.03430 0.758 0.893
## 0.25 74 1 0.811 0.03559 0.745 0.884
## 0.41 69 1 0.800 0.03697 0.730 0.876
## 0.42 68 1 0.788 0.03825 0.716 0.867
## 0.43 67 1 0.776 0.03944 0.703 0.858
## 0.62 56 1 0.762 0.04110 0.686 0.847
## 0.86 47 1 0.746 0.04331 0.666 0.836
## 1.15 32 1 0.723 0.04782 0.635 0.823
## 1.44 24 1 0.693 0.05449 0.594 0.808
## 1.60 16 1 0.649 0.06609 0.532 0.793
## 2.13 6 1 0.541 0.11311 0.359 0.815
## 2.35 4 1 0.406 0.14466 0.202 0.816
## 2.98 1 1 0.000 NaN NA NA
在上面的图中的趋势,可以帮助我们预测在若干天结束的生存概率。
根据cl.cluster分组估计KM生存曲线
用strata来控制协变量Status 的影响
##
## N Observed Expected (O-E)^2/E (O-E)^2/V
## cl.cluster=1 36 36 40.4 0.48265 3.7403
## cl.cluster=2 11 11 10.8 0.00256 0.0253
## cl.cluster=3 59 59 63.9 0.37821 3.0562
## cl.cluster=4 117 117 107.8 0.77924 11.2454
##
## Chisq= 11.6 on 3 degrees of freedom, p= 0.00875
在控制Status变量之后,可以看到p值小了一些,但仍然大于0.05,因此可以认为cl.cluster对生存时间仍然没有显著影响。
用图形方法检验PH假设
然后 对生存时间取对数 plot(kmfit2,fun='clogl
生存分析一般都会用到比例风险回归模型(cox模型),但是使用cox模型的前提是比例风险一定,不随时间变动,即ph假定。从上图的结果来看,由于两个曲线不平行,不符合PH假设。
构建COX PH回归模型
coxph(y~ .,data=data)
summary(coxmodel)
## n= 223, number of events= 36
##
## coef exp(coef) se(coef) z Pr(>|z|)
## DLBCL 1.293e-03 1.001e+00 1.233e-02 0.105 0.9165
## sampleValidation 2.060e+00 7.848e+00 4.528e+00 0.455 0.6491
## X.LYM -7.092e-01 4.920e-01 4.604e-01 -1.540 0.1234
## number.Dead -3.326e+00 3.593e-02 4.548e+00 -0.731 0.4646
## AnalysisGCB 5.432e+00 2.285e+02 5.374e+00 1.011 0.3122
## AnalysisType 3.580e+00 3.588e+01 9.047e+00 0.396 0.6923
## SetIII 0.000e+00 1.000e+00 0.000e+00 NA NA
## SetLow -5.630e+00 3.589e-03 8.776e+00 -0.641 0.5212
## SetMedium -6.406e-01 5.270e-01 5.148e+00 -0.124 0.9010
## Setmissing -8.142e+00 2.911e-04 1.965e+02 -0.041 0.9670
## Follow.up-0.05 -4.012e-01 6.695e-01 1.611e+01 -0.025 0.9801
## Follow.up-0.08 4.992e+00 1.472e+02 2.010e+03 0.002 0.9980
## Follow.upLow 1.646e+00 6.074e-01 5.368e-05 5.049e+04
## Follow.upMedium 1.000e+00 1.000e+00 1.000e+00 1.000e+00
## X.years. 2.755e-02 3.630e+01 1.697e-04 4.472e+00
## Status 2.777e-01 3.601e+00 5.152e-03 1.497e+01
## at 1.353e+00 7.391e-01 4.076e-02 4.491e+01
## follow.up 1.598e+00 6.257e-01 3.037e-02 8.409e+01
## Subgroup 1.039e+00 9.623e-01 1.445e-03 7.472e+02
## cl.cluster 4.428e-03 2.258e+02 1.411e-05 1.390e+00
##
## Concordance= 0.992 (se = 0.056 )
## Rsquare= 0.568 (max possible= 0.749 )
## Likelihood ratio test= 187.1 on 167 df, p=0.1367
## Wald test = 41.93 on 167 df, p=1
## Score (logrank) test = 473.4 on 167 df, p=0
从回归模型的结果来看,cell2 的p值为 8.37e-05 ***。cell3 的p值为 7.15e-05 ***。显著小于0.05,因此对生存时间有显著的影响。从r方的结果来看,模型的拟合程度不是很好需要继续尝试。
两模型选择
anova(mod1,mod2)
## Analysis of Deviance Table
## Cox model: response is y
## Model 1: ~ Status + cl.cluster
## Model 2: ~ Status + cl.cluster + cl.cluster * Status
## loglik Chisq Df P(>|Chi|)
## 1 -93.46
## 2 -93.46 0 1 0.9998
从anova的结果来看,p值大于0.05,因此两个模型没有显著的差别。也就是说cl.cluster和Status的交互作用对生存时间没有显著影响。从回归迭代的结果来看简洁模型更好。
构建一个stratified Cox model.
由于PH假设在cl.cluster的时候不成立,因此在接下来的模型中需要控制这个变量
## n= 223, number of events= 36
##
## coef exp(coef) se(coef) z Pr(>|z|)
## Status 0.5483 1.7303 0.2636 2.08 0.0375 *
## ---
## Signif. codes: 0 '***' 0.001 '**' 0.01 '*' 0.05 '.' 0.1 ' ' 1
##
## exp(coef) exp(-coef) lower .95 upper .95
## Status 1.73 0.5779 1.032 2.901
##
## Concordance= 0.585 (se = 0.059 )
## Rsquare= 0.02 (max possible= 0.576 )
## Likelihood ratio test= 4.52 on 1 df, p=0.03352
## Wald test = 4.33 on 1 df, p=0.03751
## Score (logrank) te
st = 4.33 on 1 df, p=0.03741
从回归模型的结果来看,cell2 的p值为0.000432 ***,cell3 的p值为0.000379 ***,说明cell3和cell2变量对生存时间有显著的影响。
对PH假设进行统计检验
coxph(mod1 )
## rho chisq p
## Status 0.105 4.82e-01 0.487
## cl.cluster 0.262 1.10e-09 1.000
## GLOBAL NA 4.82e-01 0.786
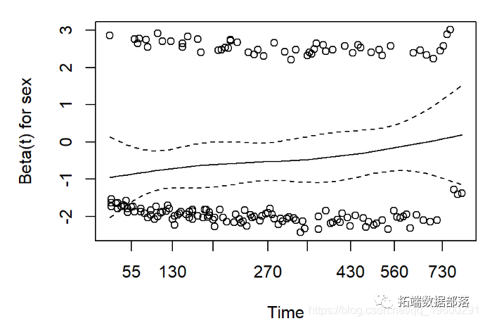
P值小显示PH假设不符合,显示系数变化图。

系数变化图,我们可以看到变量再不同时间段对生存时间的影响,从cell2的影响来看,一直来小于0的区域波动,说明cell2对生存时间有正相关的影响,从cell3来看,其影响也是正相关,同时随着时间增加,影响呈现先增加后减小的趋势。

点击文末“阅读原文”
获取全文完整代码数据资料。
本文选自《R语言临床预测模型:分层构建COX生存回归模型STRATIFIED COX MODEL、KM生存曲线、PH假设检验》。
点击标题查阅往期内容











