原文链接:http://tecdat.cn/?p=14887
广义线性模型(GLM) 是通过连接函数,把自变量线性组合和因变量的概率分布连起来,该概率分布可以是高斯分布、二项分布、多项式分布、泊松分布、伽马分布、指数分布(点击文末“阅读原文”获取完整代码数据)。
相关视频
连接函数有:

平方根连接 (用于泊松模型)
考虑一些均值μ和方差σ2的随机变量Y。利用泰勒展开式

假使
,考虑平方根变换g(y)= \ sqrt {y} g(y)= y,则第二个等式变为
因此,通过平方根变换,我们具有方差稳定性,可以将其解释为一定的同调性。
伯努利模型的对数函数
假设变量是泊松变量,

先前的模型看起来像是伯努利回归分析,其中H作为链接函数,\ mathbb {P}
因此,现在假设代替观察N,我们观察到Y = 1(N> 0)。在那种情况下,运行带有对数链接函数的伯努利回归,首先与对原始数据运行泊松回归,然后在我们的二进制变量零和非零上使用。让我们先生成一些模拟数据,比较从标准逻辑回归得到的eλx和px
regPois = glm(Y~.,data=base,family=poisson(link="log"))
regBinom = glm((Y==0)~.,data=base,family=binomial(link="probit"))

点击标题查阅往期内容


左右滑动查看更多

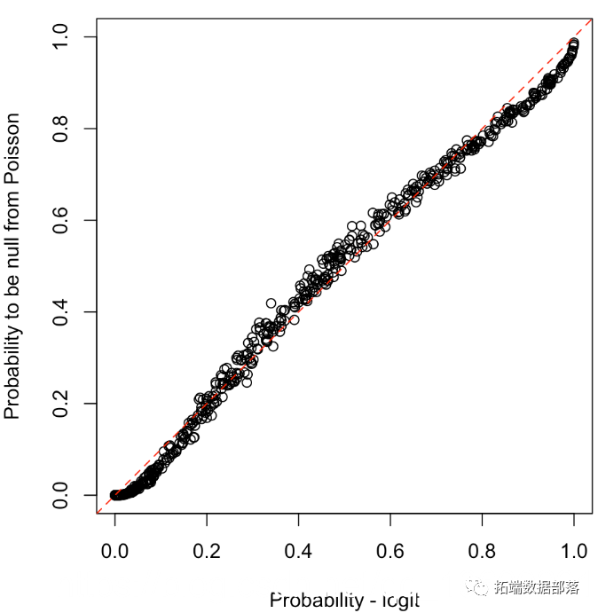
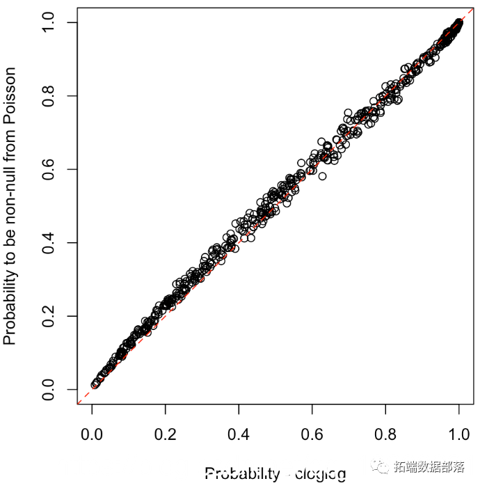
如果px \是从Bernoulli回归中获得的,并且具有连接功能,该怎么办?
plot(prob,1-exp(-lambda),xlim=0:1,ylim=0:1)
abline(a=0,b=1,lty=2,col="red")

拟合很好,现在,如果我们对婚姻出轨数据集,由雷·费尔,在1978年出版的 期刊政治经济学 (含563个观察,九个变量)进行建模:
prob = predict(regBinom, type="response")
plot(prob,exp(-lambda),xlim=0:1,ylim=0:1)
abline(a=0,b=1,lty=2,col="red")

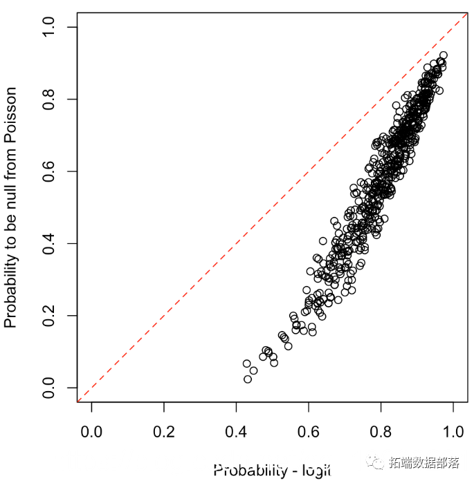
在这种情况下,这两种模型结果是非常不同的。第二个模型也是
plot(prob,1-exp(-lambda),xlim=0:1,ylim=0:1)
abline(a=0,b=1,lty=2,col="red")

我们如何解释呢?是因为泊松模型不好吗?我们在这里运行零膨胀模型进行比较,
summary(regZIP)
Count model coefficients (poisson with log link):
Estimate Std. Error z value Pr(>|z|)
(Intercept) -0.002274 0.048413 -0.047 0.963
X1 1.019814 0.026186 38.945 <2e-16 ***
X2 1.004814 0.024172 41.570 <2e-16 ***
Zero-inflation model coefficients (binomial with logit link):
Estimate Std. Error z value Pr(>|z|)
(Intercept) -4.90190 2.07846 -2.358 0.0184 *
X1 -2.00227 0.86897 -2.304 0.0212 *
X2 -0.01545 0.96121 -0.016 0.9872
---
Signif. codes: 0 '***' 0.001 '**' 0.01 '*' 0.05 '.' 0.1 ' ' 1
由于零的膨胀,我们在这里拒绝了泊松分布的假设,可以使用对数连接来检查泊松分布是否是一个好的模型。

点击文末“阅读原文”
获取全文完整代码数据资料。
本文选自《R语言广义线性模型(GLMs)算法和零膨胀模型分析》。
点击标题查阅往期内容



文章转载自拓端数据部落,如果涉嫌侵权,请发送邮件至:contact@modb.pro进行举报,并提供相关证据,一经查实,墨天轮将立刻删除相关内容。








