原文链接:http://tecdat.cn/?p=12486
创建一个以4 kHz采样的信号,类似于拨打数字电话的所有键(点击文末“阅读原文”获取完整代码数据)。
拨号音信号的变模分解
将信号另存为MATLAB®时间数据。
fs = 4e3;
t = 0:1/fs:0.5-1/fs;
绘制时间表的变分模态分解。

多分量信号的VMD
生成由频率为2 Hz,10 Hz和30 Hz的三个正弦波组成的多分量信号。正弦波以1 kHz采样2秒。将信号嵌入方差为0.01²的高斯白噪声中。
点击标题查阅往期内容


左右滑动查看更多

计算噪声信号的IMF,并在3-D图中可视化它们。
plot3(p,q,imf)
grid on
xlabel('Time Values')
ylabel('Mode Number')
zlabel('Mode Amplitude')

使用计算出的IMF绘制多分量信号的希尔伯特频谱。将频率范围限制为[0,40] Hz。

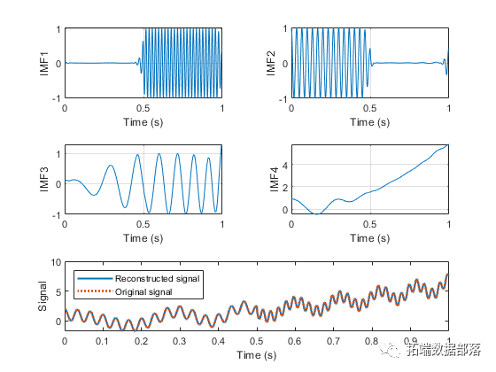
分段信号的VMD
生成一个由二次趋势,线性调频信号和余弦组成的分段复合信号,在_t_ = 0.5时,两个恒定频率之间会发生急剧过渡 。
x(t)= 6t2 + cos(4πt+10πt2)+ {cos(60πt),cos(100πt-10π),t≤0.5,t> 0.5。
信号以1 kHz采样1秒。绘制每个单独的分量和复合信号。
plot(t,6*t.^2)
xlabel('Time (s)')
ylabel('Quadratic trend')
nexttile(5,\[1 2\])
plot(t,x)
xlabel('Time (s)')
ylabel('Signal')

执行变分模态分解以计算四个本征模式函数。信号的四个不同分量得以恢复。
通过添加模式函数和残差来重构信号。绘制并比较原始信号和重构信号。
plot(t,x,':','LineWidth',2)
xlabel('Time (s)')
ylabel('Signal')
hold off
legend('Reconstructed signal','Original signal', ...
'Location','northwest')

计算原始信号与重构信号之间的差异的范数。
使用VMD从ECG信号中去除噪声
在此示例中标记的信号来自MIT-BIH心律失常数据库 (信号处理工具箱)。数据库中的信号以360 Hz采样。
加载与记录200相对应的MIT数据库信号并绘制该信号。
plot(tm,ecgsig)
ylabel('Time (s)')
xlabel('Signal')

ECG信号包含由心跳的节奏和振荡的低频模式驱动的尖峰。ECG的不同辐条会产生重要的高次谐波。
计算开窗信号的九种固有模式函数,可视化IMF。

第一种模式包含最多的噪声,第二种模式以心跳的频率振荡。通过将除第一个和最后一个VMD模式之外的所有模式相加,构造一个干净的ECG信号,从而丢弃低频基线振荡和大部分高频噪声。


本文摘选《matlab中使用VMD(变分模态分解)》,点击“阅读原文”获取全文完整资料。
点击标题查阅往期内容











