全文链接:http://tecdat.cn/?p=31010
平衡不完全区组设计(BIBD)是一个很好的研究实验设计,可以从统计的角度看各种所需的特征(点击文末“阅读原文”获取完整代码数据)。
最近我们被客户要求撰写关于BIBD的研究报告,包括一些图形和统计输出。
对于一个BIBD有K个观测,重复r次实验。还有第5参数lamda,记录其中每对实验发生在设计块的数目。
生成一组BIBD设计,设计行列和每块的元素具体数目。如果BIBD(b,v,r,k)存在则 :1=v
我们设置区组
BIB(7,7, 4, 2)
## [,1] [,2] [,3] [,4]
## [1,] 2 3 5 6
## [2,] 3 4 6 7
## [3,] 1 2 4 6
## [4,] 1 5 6 7
## [5,] 2 4 5 7
## [6,] 1 2 3 7
## [7,] 1 3 4 5
这种设计不是BIBD,因为处理不是所有重复的设计都有相同的次数,我们可以通过isGUID检查。对于本例:
BIB(7,7, 4, 2)
## [,1] [,2] [,3] [,4]
## [1,] 2 3 5 6
## [2,] 1 5 6 7
## [3,] 2 4 5 7
## [4,] 1 2 4 6
## [5,] 1 2 3 7
## [6,] 3 4 6 7
## [7,] 1 3 4 5
然后,我们修改参数,来查看该模型是否生产BIBD
my.design
## [,1] [,2] [,3]
## [1,] 1 2 6
## [2,] 2 3 7
## [3,] 1 4 7
## [4,] 3 4 6
## [5,] 1 3 5
## [6,] 2 4 5
## [7,] 5 6 7
##
## [1] The design is a balanced incomplete block design w.r.t. rows.
从结果来看,该设计是一个平衡不完全区组设计 。在这种情况下,我们能够生成有效BIBD实验使用指定的参数。
点击标题查阅往期内容


左右滑动查看更多

分析Box-Behnken设计
Box-Behnken设计的优良在于,可以将其应用于分析2至5个因子的实验。
下面将其扩展到回归模型的实验设计中,比如在下面的一个纸飞机的飞行时间的实验。这是另一个多种因子的实验,在四个变量。这些数据已经被编码。原始的变量是机翼面积A,翼状R,机身宽度W,和长度L , 在数据集中的每个观测代表的10次重复的的纸飞机在每个实验条件下的结果。我们在这里研究平均飞行时间 。
使用响应曲面法对变量进行回归模型拟合
相关视频
查看模型结果
summary(heli.rsm)
##
## Call:
## rsm(formula = ave ~ block + SO(x1, x2, x3, x4), data = heli)
##
## Estimate Std. Error t value Pr(>|t|)
## (Intercept) 372.800000 1.506375 247.4815 < 2.2e-16 ***
## block2 -2.950000 1.207787 -2.4425 0.0284522 *
## x1 -0.083333 0.636560 -0.1309 0.8977075
## x2 5.083333 0.636560 7.9856 1.398e-06 ***
## x3 0.250000 0.636560 0.3927 0.7004292
## x4 -6.083333 0.636560 -9.5566 1.633e-07 ***
## x1:x2 -2.875000 0.779623 -3.6877 0.0024360 **
## x1:x3 -3.750000 0.779623 -4.8100 0.0002773 ***
## x1:x4 4.375000 0.779623 5.6117 6.412e-05 ***
## x2:x3 4.625000 0.779623 5.9324 3.657e-05 ***
## x2:x4 -1.500000 0.779623 -1.9240 0.0749257 .
## x3:x4 -2.125000 0.779623 -2.7257 0.0164099 *
## x1^2 -2.037500 0.603894 -3.3739 0.0045424 **
## x2^2 -1.662500 0.603894 -2.7530 0.0155541 *
## x3^2 -2.537500 0.603894 -4.2019 0.0008873 ***
## x4^2 -0.162500 0.603894 -0.2691 0.7917877
## ---
## Signif. codes: 0 '***' 0.001 '**' 0.01 '*' 0.05 '.' 0.1 ' ' 1
##
## Multiple R-squared: 0.9555, Adjusted R-squared: 0.9078
## F-statistic: 20.04 on 15 and 14 DF, p-value: 6.54e-07
##
## Analysis of Variance Table
##
## Response: ave
## Df Sum Sq Mean Sq F value Pr(>F)
## block 1 16.81 16.81 1.7281 0.209786
## FO(x1, x2, x3, x4) 4 1510.00 377.50 38.8175 1.965e-07
## TWI(x1, x2, x3, x4) 6 1114.00 185.67 19.0917 5.355e-06
## PQ(x1, x2, x3, x4) 4 282.54 70.64 7.2634 0.002201
## Residuals 14 136.15 9.72
## Lack of fit 10 125.40 12.54 4.6660 0.075500
## Pure error 4 10.75 2.69
##
## Stationary point of response surface:
## x1 x2 x3 x4
## 0.8607107 -0.3307115 -0.8394866 -0.1161465
##
## Stationary point in original units:
## A R W L
## 12.916426 2.434015 1.040128 1.941927
##
## Eigenanalysis:
## $values
## [1] 3.258222 -1.198324 -3.807935 -4.651963
##
## $vectors
## [,1] [,2] [,3] [,4]
## x1 0.5177048 0.04099358 0.7608371 -0.38913772
## x2 -0.4504231 0.58176202 0.5056034 0.45059647
## x3 -0.4517232 0.37582195 -0.1219894 -0.79988915
## x4 0.5701289 0.72015994 -0.3880860 0.07557783
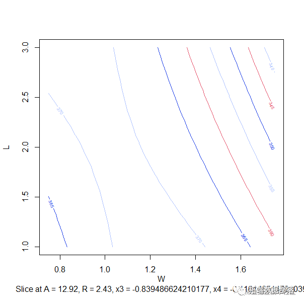
绘制拟合值的等高线图
contour(

可视化结果
围绕拟合面,我们可以画出样本拟合点的位置。默认情况下,每个小区显示多个轮廓线的图像。可以看到,图中显示的不一定是等高线图的中心(默认可变范围是从数据中获得 );而是它设置在在坐标轴上的变量对应的值。因此,左上角的图中绘制了在x1和x2对应的拟合值,其中x3 =-0.839和x4=-0.116, 在固定的值,最大的就是该坐标X1 =0.861,X2=-0.331。

点击文末“阅读原文”
获取全文完整代码数据资料。
本文选自《R语言统计学DOE实验设计:用平衡不完全区组设计(BIBD)分析纸飞机飞行时间实验数据》。
点击标题查阅往期内容











