本文作者
王雄,华为云数据库内核高级技术专家。擅长数据库优化器内核研发,10多年数据库内核研发经验,曾参与多个TP以及AP数据库的研发工作。
引言
在数据库系统中,SQL(Structured Query Language)语句输入到系统后,一般要经历:词法语法解析(parse)、重写(resolve)、优化(optimize)、执行(execute)的过程。词法语法分析、重写和优化,这三个阶段会生成SQL语句的执行计划 (plan)。当SQL语句存在多种执行计划的时候,优化器会从这许多的执行计划中挑选出一个它认为最优的(通常是占用系统资源最少的,包括CPU以及IO等)作为最终的执行计划供执行器执行。生成执行计划的过程会消耗较多的时间,特别是存在许多可选的执行计划时。

Prepared Statement是将SQL语句中的值用占位符替代,可以视为将SQL语句模板化或者说参数化。当执行PREPARE语句时,传统MySQL将对指定的语句进行词法语法解析和重写,如上图①②。该阶段称为预编译阶段。Prepared Statement的优势在于一次编译、多次运行,省去了预编译阶段需要的时间。随后发出EXECUTE命令时,MySQL将对编译阶段生成的结构执行优化,即上图的③,生成对应的执行计划并执行,把输出结果返回到客户端。例如:
PREPARE stmt FROM ‘SELECT * FROM t WHERE t.a = ?’;SET @var = 2;EXECUTE stmt USING @var;
传统MySQL的Prepared Statement只会节省SQL语句的解析及重写过程需要的时间,但是对于一条SQL语句,如文章开头所述,优化SQL语句并生成执行计划需要耗费大量的资源以及时间。如果能将该Prepared Statement语句对应的最终执行计划进行缓存,当执行EXECUTE语句的时候,就可以直接使用已缓存的执行计划,从而跳过SQL语句生成执行计划的整个过程,进而可以提高语句的执行性能。为此,GaussDB(for MySQL) 提供了Prepared Statement执行计划缓存特性。
接下来一起看一下GaussDB(for MySQL)是如何对执行计划进行缓存并加速Prepared
Statement性能的。
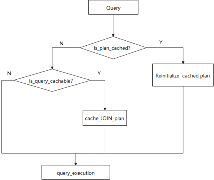
执行计划缓存工作原理

执行计划缓存管理
cached_plan_count:显示有多少个Prepared Statement缓存了执行计划。这是一个Global级别的状态变量。
cached_plan_hits:显示EXECUTE执行过程中命中了缓存的执行计划的次数。这是一个Session/Global状态。
SET @a = 'two';SET @b = 3;PREPARE stmt FROM "SELECT * FROM t1 WHERE b = ? AND c = ?";EXECUTE stmt USING @a,@b;
执行结果如下:
a b c6 two 3
再次执行Prepared Statement:
EXECUTE stmt USING @a,@b;a b c6 two 3
execute stmt using @a,@b;a b c6 two 3
SHOW SESSION STATUS LIKE "cached_plan%";
显示结果如下:
Variable_name ValueCached_plan_count 1Cached_plan_hits 2
从显示结果可以看出,第一次执行EXECUTE语句的时候,Prepared Statement对执行计划进行了缓存,即可以看到Cached_plan_count为1;之后执行两次EXECUTE语句,都命中了执行计划缓存,所以可以看到Cached_plan_hits变成了2。
为了保持当前缓存的执行计划是尽可能最优的,GaussDB(for MySQL)定义了如下规则来对当前缓存的计划进行失效,并重新生成执行计划:
1. 执行计划相关表的记录数更改超过总记录数的20%。这意味着当前表的记录数如果插入/删除超过20%的记录,当前缓存计划将失效并在优化后重新缓存。注:记录数是根据统计数据估计的。所以最好先对表进行Analyze。
2. 表定义进行了更改。例如,执行计划相关表上进行的DDL将导致缓存计划无效,并在优化后重新缓存。
3. 如果系统变量Optimizer_switch中影响执行计划生成的选项值进行了更改,则缓存的计划将失效,并在优化后重新缓存。
4. 系统字符集发生变化,与缓存的计划不同时,将导致缓存计划失效,并在优化后重新缓存。
执行计划缓存性能测试结果
对于使用执行计划缓存和不使用执行计划缓存的场景,基于Sysbench测试集进行了性能测试对比,从测试结果可以看出,在启用执行计划缓存后,各类业务性能均有提升。注意:这些测试只代表相对数字,并不代表实际性能。
测试环境配置如下:
数据集 : 8 个表,每个表1000万行
测试服务器:Intel(R) Xeon(R) CPU E5-2690 v4 @ 2.60GHz 2
physical cores 56 processors 460G memory
(左右滑动可查看不同场景下的性能测试数据)
综上所述,GaussDB(for MySQL)通过缓存执行计划,可以提升Prepared Statement的性能。特别是针对Range Scan的测试集,性能提升可达2倍左右。未来我们会支持越来越多的查询场景,性能加速值得期待。




戳“阅读原文”,立即体验








