网上有一个经典的算法入门题:

虽然是个夸张的梗,但是也部分反映了一个现实,大部分的程序员童鞋(也包括我在内)是缺乏一定的数学素养的。一个常见的现象就像上面所展示的那样,看代码的时候贼顺溜,一看到数学部分就

在重新学习了一段时间数学基础后,我发现,数学本身的逻辑其实并非复杂到让人难以理解的程度。而最大的坎恐怕就是其中犹如天书般的数学符号吧?基于此,我想整理一个基于代码的数学符号释义,由于我本身的知识水平限制,若出现了部分错误,还希望各位Ladies和乡亲们海涵并指出。另,本文长期更新,欢迎大家补充和收藏。
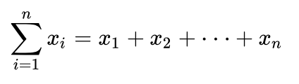
No.1 Σ
含义:多项数之和
中文:西格玛
英文:sigma
小写:σ
公式解释:

表示 X1 到 Xn 的和,比如n=10的时候,就是10项的和
代码释义:
def sigmod(i, n): # Σ 多项数求和 if not isinstance(i, int) or not isinstance(n, int): return False return reduce(lambda x, y: x+y, range(i, n+1))
相关拓展:

双西格玛号,要先求内部的加和再带入外部的求和中,举个🌰:

后面的步骤就是如上一样的求和公式就可以解出来了
代码释义:
def double_sigmod(a, b, i, j, func=None): if not isinstance(a, int) or not isinstance(b, int) or not isinstance(i, int) or not isinstance(j, int) or not func: return False result = 0 for k in range(a, b+1): for n in range(i, j+1): result += func(n, k) return result
参考资料:
https://www.quora.com/What-is-an-example-of-a-double-summation
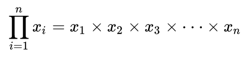
No.2 
含义:多项数连续乘积
中文:派
英文:pai
小写:π
公式解释: 
表示从 X1 到 Xn 的连续乘积,比如n=10的时候,就是10项的乘积
代码释义:
def continue_multiply(i, n): ''' Π 连乘 ''' if not isinstance(i, int) or not isinstance(n, int): return False return reduce(lambda x, y: x*y, range(i, n+1))
No.3 n!
含义:一个正整数的阶乘是所有小于及等于该数的正整数的积,并且0的阶乘为1。
中文:阶乘
英文:factorial
公式解释:n! = 1 × 2 × 3 × ... × n
也可以理解为连乘的特例,条件限制为,即n只能为正整数,并且i从1开始
代码释义:
def factorial(n): ''' n! 阶乘 ''' if not isinstance(n, int): return 'Invalid data, please input a int number' if n == 0 or n == 1: return 1 else: return n * factorial(n-1)
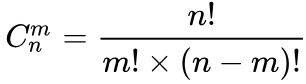
No.4 
含义:从n个不同元素中每次取出m(n≥m)个不同元素,组合在一起(不关心顺序)
中文:组合
英文:combination
公式解释: 
可以理解为一个袋子中有n个标记的小球,从中拿出m个的组合方式。这个需要自己动手动笔算几次就比较容易理解了。
代码释义:
def combination(iter=None, m=0): ''' 从 n 中选出 m 个,进行组合 ''' result = [] tmp = [0] * m length = len(iter) def next_num(li=0, ni=0): if ni == m: result.append(copy.copy(tmp)) return for lj in range(li, length): tmp[ni] = iter[lj] next_num(lj + 1, ni + 1) next_num() return (result, len(result))
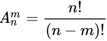
No.5
含义:从n个不同元素中每次取出m(1≤m≤n)个不同元素,排成一列(有顺序要求)
中文:组合
英文:permutation
公式解释: 
可以这么理解,从n个有标记的小球中,先取出来一个,然后再在接下来的n-1个元素中去除一个放到第二个位置,最后从n-m+1个元素中,取出一个放在第m个位置上
代码释义:
(备注,我那个n中选择m个的算法还没搞出来,只实现了全排列,后续搞明白了再补充)
def permutation(iter=None, n=0): ''' 从 n 中选出 n 个,进行排列 ''' result = [] tmp = [0] * n def next_num(arry, ni=0): if ni == n: result.append(copy.copy(tmp)) return for lj in arry: tmp[ni] = lj arry_c = arry[:] arry_c.pop(arry.index(lj)) next_num(arry_c, ni+1) next_num(iter[:], 0) return (result, len(result))
最后温馨提醒,本文会长期更新。也欢迎小伙伴补充更多不是很明了的数学公式,后续会继续完善。
另外,代码已经同步上传至GitHub,欢迎小伙伴follow和star:☞☞☞传送门戳阅读全文
一道思考题:求1-100的和(要求时间复杂度最小,温馨提示:尽量使用数学知识)
知乎:张小鸡
日拱一卒无有尽,功不唐捐终入海





