本为带大家了解 Oracle PDB Refresh 是什么功能,Refresh有什么使用限制。
什么是PDB Refresh功能?
Oracle PDB Refresh是在12.2版本推出了一个pdb的管理功能,它是pdb热克隆技术的一个增强。从Oracle多租户版本迭代中,目前在18c中有一次比较大的功能更新,支持了pdb级别的switchover功能。其他版本里的基本是修补一些相关的bug。(pdb switchover功能目前只支持Oracle Database Cloud Service和Exadata一体机使用)
支持三种类型的源端数据库,分别是Local PDB/PDB in a remote CDB/Non-CDB。这里要注意的是不管是本地还是远程,都需要创建dblink(语法上决定的)。

refresh基本语法及相关视图
基础创建语法:
Create pluggable database new_pdb from old_pdb@db_link
[fail_name_convert]
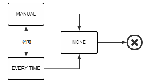
refresh mode NONE/MANUAL/EVERY TIME [parallel N]
基础管理语法:
alter pluggable database enmodb refresh mode manual;
alter pluggable database enmodb refresh mode every 1 hours;
alter pluggable database enmodb refresh mode every 1 minutes;
alter pluggable database enmodb refresh mode none;
相关视图:
dba_pdbs ---查看refresh配置信息
pdb_plug_in_violations ---查看refresh错误信息
相关参数:
remote_recovery_file_dest ---在源库关闭或异常的情况下,目标库设置了这个参数的话,可以从这个位置找到归档应用到目标库进行refresh。

refresh的前置限制条件
- 源端和目标端数据库必须为归档模式
- 源端和目标端必须为local_undo多租户(database_properties where property_name=‘LOCAL_UNDO_ENABLED’)
- 源端和目标端需要同平台,字节顺序相同
- 确保目标库有足够的SGA/PGA内存分配给refresh过来的pdb
- 确保目标库磁盘组有足够的可用空间存放refresh过来的pdb
- 源库pdb的字符集要和目标CDB的字符集和国家字符集兼容,例如目标库是AL32UTF8的话,源库可以是ZHS16GBK,但是反过来就不行。
本文内容节选自云和恩墨交付总监 李海清 在墨天轮社区的直播课分享。
更多内容详见《经典知识库:Oracle PDB Refresh实战分享 - 李海清》视频、PPT课件。
最后修改时间:2021-07-30 17:48:12
「喜欢这篇文章,您的关注和赞赏是给作者最好的鼓励」
关注作者
【版权声明】本文为墨天轮用户原创内容,转载时必须标注文章的来源(墨天轮),文章链接,文章作者等基本信息,否则作者和墨天轮有权追究责任。如果您发现墨天轮中有涉嫌抄袭或者侵权的内容,欢迎发送邮件至:contact@modb.pro进行举报,并提供相关证据,一经查实,墨天轮将立刻删除相关内容。




