泰勒公式,是一个用函数在某点的信息描述其附近取值的公式。如果函数满足一定的条件,泰勒公式可以用函数在某一点的各阶导数值做系数构建一个多项式来近似表达这个函数。
泰勒公式如下:

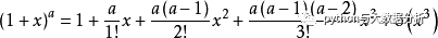
几个常用函数的泰勒公式







洛必达法则,是在一定条件下通过分子分母分别求导再求极限来确定未定式值的方法 。众所周知,两个无穷小之比或两个无穷大之比的极限可能存在,也可能不存在。因此,求这类极限时往往需要适当的变形,转化成可利用极限运算法则或重要极限的形式进行计算。洛必达法则便是应用于这类极限计算的通用方法
对于零比零型,无穷比无穷型
(1) lim(f(x))=0 ,且 lim(g(x)=0 或 lim(f(x))=∞ ,且 lim(g(x)=∞
(2) 在a点 的某去心邻域内两者都可导,且g'(x)<>0
(3) lim(f'(x)/g'(x)=A
则 lim(f(x)/g(x))=lim(f'(x)/g'(x)=A
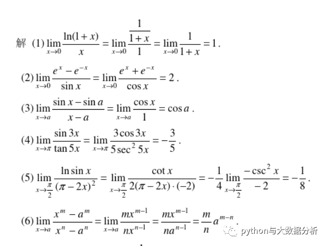
洛必达法则例子:

罗尔(Rolle)中值定理、拉格朗日(Lagrange)中值定理、柯西(Cauchy)中值定理是三大微分中值定理。
罗尔定理描述如下:如果 R 上的函数 f(x) 满足以下条件:(1)在闭区间 [a,b] 上连续,(2)在开区间 (a,b) 内可导,(3)f(a)=f(b),则至少存在一个 ξ∈(a,b),使得 f'(ξ)=0。
证明:因为函数 f(x) 在闭区间[a,b] 上连续,所以存在最大值与最小值,分别用 M 和 m 表示,分两种情况讨论:
1. 若 M=m,则函数 f(x) 在闭区间 [a,b] 上必为常函数,结论显然成立。
2. 若 M>m,则因为 f(a)=f(b) 使得最大值 M 与最小值 m 至少有一个在 (a,b) 内某点ξ处取得,从而ξ是f(x)的极值点,又条件 f(x) 在开区间 (a,b) 内可导得,f(x) 在 ξ 处取得极值,由费马引理,可导的极值点一定是驻点,推知:f'(ξ)=0。
另证:若 M>m ,不妨设f(ξ)=M,ξ∈(a,b),由可导条件知,f'(ξ+)<=0,f'(ξ-)>=0,又由极限存在定理知左右极限均为 0,得证。

柯西中值定理:其几何意义为,用参数方程表示的曲线上至少有一点,它的切线平行于两端点所在的弦。该定理可以视作在参数方程下拉格朗日中值定理的表达形式。
柯西中值定理:设函数f(x),g(x) 满足
⑴在闭区间(a,b) 上连续;
⑵在开区间(a,b) 内可导;
⑶对任意x∈(a,b),g'(x)<>0 ,
那么在(a,b) 内至少有一点 ξ∈(a,b),使得(f(b)-f(a))/(g(b)-g(a))=f'(ξ)/g'(ξ) 成立

拉格朗日中值定理又称拉氏定理,是微分学中的基本定理之一,它反映了可导函数在闭区间上的整体的平均变化率与区间内某点的局部变化率的关系。
拉格朗日中值定理是罗尔中值定理的推广,同时也是柯西中值定理的特殊情形,是泰勒公式的弱形式,更多的用于求极限
如果函数f(x)满足:
(1)在闭区间[a,b]上连续;
(2)在开区间(a,b)内可导;
那么在开区间(a,b)内至少有一点ξ(a<ξ<b) 使等式f(b)-f(a)=f'(ξ)(b-a) 成立。





