暂无图片
暂无图片
暂无图片
暂无图片
暂无图片
一种基于深度学习的零件表面缺陷分类系统_CN 116645559 A_CnosDB.pdf
42
8页
1次
2023-09-26
免费下载
(19)国家知识产权局
(12)发明专利申请
(10)申请公布号
(43)申请公布日
(21)申请号 202310633238 .7
(22)申请日 2023 .05 .31
(71)申请人 北京诺司时空科技有限公司
地址 100020 北京市朝阳区东三环北路甲
19号soho嘉盛中心2509室
(72)发明人 王宏志 陈泊舟 郑博 叶天生 
丁小欧 
(74)专利代理机构 哈尔滨市松花江联合专利商
标代理有限公司 23213
专利代理师 岳昕
(51)Int.Cl.
G06V
10/764
(2022 .01)
G06V
10/82
(2022 .01)
G06T
7/00
(2017 .01)
G06N
3/0464
(2023 .01)
G06N
3/047
(2023 .01)
G06N
3/084
(2023 .01)
(54)发明名称
一种基于深度学习的零件表面缺陷分类系
(57)摘要
一种基于深度学习的零件表面缺陷分类系
它属于图像分类技术领域本发明解决了现
有深度学习模型在优化channel数量时所需的优
化时间和存储开销大而且channel数量优化后
的深度学习模型的分类准确率低的问题本发明
采取的主要技术方案为本发明将卷积核中的每
个通道分别作为一个独立的候选者根据控制变
量和候选者的索引分别将每个候选者的索引映
射到一个值为0或1的indicator值再根据映射
结果进行通道选择采用本发明方法可以解决现
有深度学习模型在优化channel数量时所需的优
化时间和存储开销大的问题而且采用本发明
方法对channel数量进行优化可以显著提高训
练好的深度学习模型的分类准确率本发明方法
可以应用于图像分类领域
权利要求书1页 说明书5页 附图1页
CN 116645559 A
2023.08.25
CN 116645559 A
1 .一种基于深度学习的零件表面缺陷分类系统其特征在于所述系统包括图像获取
模块图像处理模块和神经网络模块其中
所述图像获取模块用于获取零件表面图像并将获取的图像发送给图像处理模块
所述图像处理模块用于对获取的图像进行处理并将处理后的图像发送给神经网络模
所述神经网络模块用于输出图像分类结果
所述神经网络模块训练过程中的channel数量优化过程为
1)将卷积核中的每个通道分别作为一个独立的候选者候选者的引分别记为1
2nn是通道数量
2)在整个迭代训练过程中不断对控制变量进行更新对于每个候选者均根据控制变
量将其索引映射到一个值为0或1的选择变量值
根据最后一次迭代训练获得的映射结果进行通道选择
2.根据权利要求1所述的一种基于深度学习的零件表面缺陷分类系统其特征在于
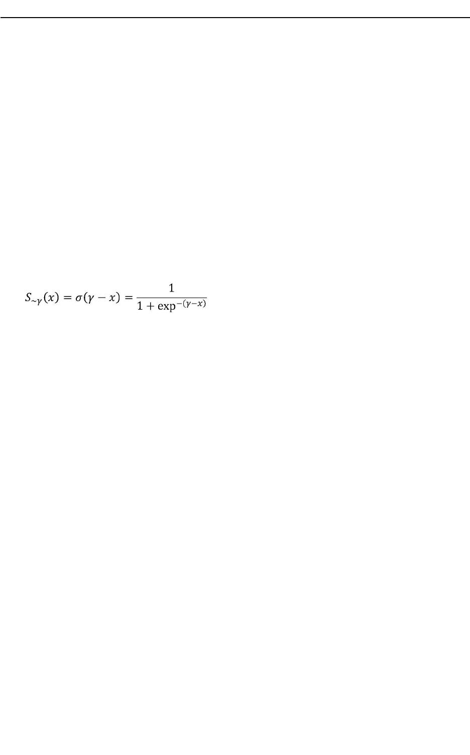
述映射采用SoftStep函数实现SoftStep函数具体为
其中x代表索引S
γ
(x)代表第x个索引映射到的选择变量值σ(·)代表Sigmoid函
γ代表控制变量
3 .根据权利要求2所述的一种基于深度学习的零件表面缺陷分类系统其特征在于
述控制变量γ采用梯度下降方式进行更新
4 .根据权利要求2所述的一种基于深度学习的零件表面缺陷分类系统其特征在于
述控制变量γ采用Momentum优化器进行更新
5 .根据权利要求3或4所述的种基于深度学习的零件表面缺陷分类系统其特征在
所述最后一次迭代训练获得的映射结果满足的约束为在n个候选者中仅有k个候选者
的选择变量值是1其它候选者的选择变量值是0
选择变量值为1表示当前候选者被选中即当前候选者所对应的通道被选中
6 .根据权利要求5所述的一种基于深度学习的零件表面缺陷分类系统其特征在于
述神经网络模块采用的深度学习模型为MobileNetV2
7 .根据权利要求6所述的一种基于深度学习的零件表面缺陷分类系统其特征在于
述对获取的图像进行处理其具体为
对获取的图像进行目标与背景的分割再对分割获得的目标图像进行尺寸归一化
寸归一化后的图像即为处理后的图像
权 利 要 求 书
1/1
2
CN 116645559 A
2
of 8
免费下载
【版权声明】本文为墨天轮用户原创内容,转载时必须标注文档的来源(墨天轮),文档链接,文档作者等基本信息,否则作者和墨天轮有权追究责任。如果您发现墨天轮中有涉嫌抄袭或者侵权的内容,欢迎发送邮件至:contact@modb.pro进行举报,并提供相关证据,一经查实,墨天轮将立刻删除相关内容。

评论

关注
最新上传
暂无内容,敬请期待...
下载排行榜
Top250 周榜 月榜