
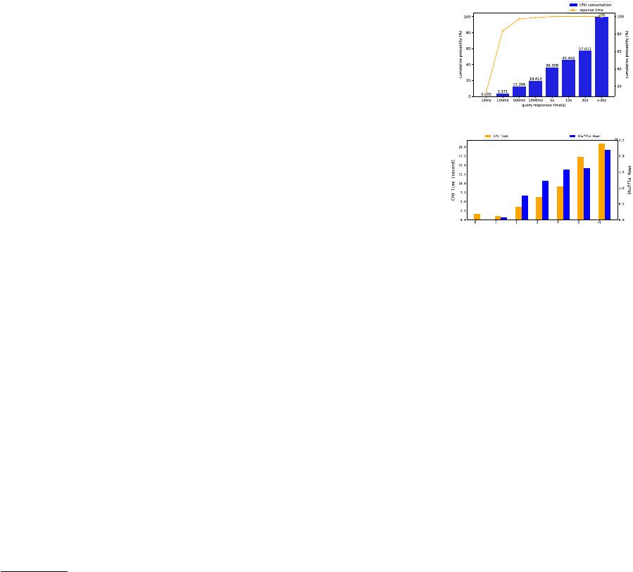
workloads, which yet consume more than 50% of the computation
resources. To evaluate the resource consumption of the complex
analytical queries, we collect related statistics of JOIN queries from
AnalyticDB ’s production workloads (as shown in Figure 1b), in-
cluding the query CPU time and the number of shued rows. As
the number of join operators increases, the required resources also
grow dramatically.
As evidenced by the statistics above, optimization techniques
for expensive batch computing tasks and ETL jobs play a vital role
in improving the overall performance of modern data warehous-
ing systems. As the number of concurrent queries increases, the
competition for resources (e.g., CPU, memory and network) be-
tween queries has b ecome very serious. In some cases, long queries
may exhaust resources in a database instance and subsequent short
queries belonging to the same instance will not be processed. We
summarize several key challenges that remain unsolved:
Challenge 1: Scenario customization for adaptive query processing.
As workloads become increasingly diverse and statistics become
less available, it has become clear that traditional "optimize-then-
execute" strategies [
24
,
31
,
41
] are no longer sucient. This realiza-
tion has led to a broad range of studies in the eld of adaptive query
processing [
20
]. Many commercial databases have implemented
various adaptive techniques, but the current approaches tend to
build scenario-customized solutions for each technique, which can
introduce unnecessary complexity into the system [
7
,
34
,
44
,
50
].
For example, Spark’s adaptive query execution [
50
] supports four
features: mid-query re-optimization, dynamically coalescing shue
partitions, dynamically switching join strategies, and dynamically
optimizing skew joins. Each feature individually collects dynamic
statistics and makes adjustments. A general-purpose information
framework that can t into these dierent scenarios would signif-
icantly reduce costs. By developing a framework that can share
information across dierent adaptive techniques, it would be pos-
sible to eliminate redundant eorts and minimize the complexity
of the system. Such a framework would enable data warehousing
systems to optimize their performance without having to build
scenario-customized solutions for each individual technique. Fur-
thermore, the same statistics could be used by dierent cases (for
example, all of the four features that Spark supports require shue
le statistics), yet implementing each case individually deprives the
opportunity for the same information to be used multiple times. In
particular, when statistics collection is resource-consuming (such
as with a bloom lter), sharing information among multiple cases
could potentially signicantly reduce costs.
Challenge 2: Eective and ecient management of dynamic statis-
tics. To potentially identify and share common dynamic statistics,
the information collection and utilization need to be decoupled
from existing modules of query engine, and a holistic management
of the information lifecycle is required to register, collect, store,
disperse, and destroy the information. None of the previous studies
have clearly dened the scope of the information that can be used
in dierent adaptive techniques, nor have they framed a mechanism
to manage the information lifecycle. In a production environment,
information collection, transmission, and storage all lead to addi-
tional overhead. High-performance data warehouse requires such
overhead to be diminished and separated from query execution
process. Moreover, a carefully designed mechanism is necessary to
limit the memory usage of the information storage that the dynamic
statistics does not aect the overall system.
Challenge 3: Coordination with query scheduler. The statistics
information can be holistically leveraged to optimize the adaptive
adjustments. To this end, the scheduler naturally comes into the
picture to orchestrate the execution orders of information consumer
and producer. However, none of the previous studies have clearly
dened a scheduler that is aware of the information dependencies.
In batch processing systems, the transmission of adaptive statis-
tics is mostly implemented as part of the execution process. Some
approaches [
12
,
25
,
32
] add checkp oints in the execution plan that
monitor statistics during execution and trigger re-optimization if
necessary, while others rewrite the provider of information explic-
itly as a sub-expression in the query execution to provide adaptive
statistics as part of the query execution process. Both approaches
tie information transmission strictly with data processing, which
means that the information consumer can only receive information
from its upstream operators without considering the possibilities of
receiving information sideways or discarding information with high
production costs. Some real-time data analytics systems support
passing information sideways, but mostly through tailored services.
For example, Impala [
5
] implements a dynamic lter service to pass
information sideways. Such services are customized for specic use
cases and cannot be easily extended to others. Moreover, the sched-
uler is not aware of such information transmission. The consumer
of the information either waits a static time period for statistics
to arrive or only consumes available statistics before running. As
execution plans become more complicated, useful statistics may not
be consumed to provoke adaptive execution without cooperation
with the scheduler. Therefore, a more sophisticated mechanism is
required to manage the transmission and consumption of adap-
tive statistics, which takes into account the collaboration with the
scheduler.
To this end, a novel information sharing framework, namely
a
daptive i
n
formation
s
haring fram
e
wo
r
k(Anser), is developed in
AnalyticDB . Our major contributions are summarized as follows:
(1)
The framework provides a uniform and eective interface
for dierent modules to share various types and levels of in-
formation. At the operator level, Anser collects various types
and levels of information, classies according to their types
and granularities, and passes to dierent modules across the
query to tune for better performance during execution.
(2)
The framework supports the automatic matching and trans-
mission of the information between information producer
and information consumer once the relationship is registered.
It supports many-to-one and one-to-many information pass-
ing in a complex physical execution tree. The transmission
is both low latency and ecient by the usage of information
merging and push-based communication model.
(3)
In conjunction with the framework, we design an information-
aware scheduler, allowing for prioritization of scheduling se-
quences based on information dependencies. Anser improves
query performance by sending information sideways based
on pre-determined dependencies that the information can b e
3637
文档被以下合辑收录
评论