
2
作为医疗服务的物质基础,我国医疗服务资源近年来在总量上也呈现了持续增加的态势。该趋势主要
通过两个分支体现:一为我国政府卫生费用的支出,二为卫生机构的床位数目。从中国卫生统计年鉴中可
看出,2006 年至 2010 年间,我国政府的卫生总务费用支出增速逐步加快,人均卫生费用数额也明显上涨。
另外,床位数目总量的持续增加也表明我国医疗机构总体住院服务能力的进一步增强。
随着经济水平攀升,我国国民的医疗健康及保健意识提高,医疗服务的需求增速虽有所减缓,但总体
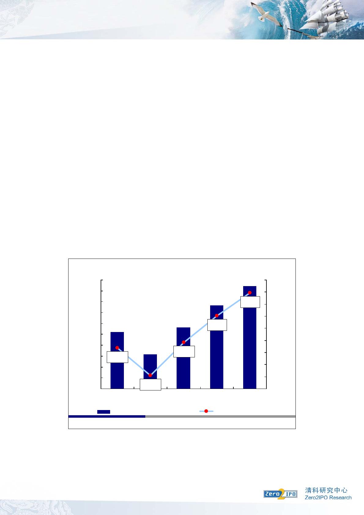
呈现上升趋势。据 2011 年中国卫生统计年鉴,2011 年我国医疗卫生机构总诊疗人次达 62.37 亿人次,同
比增长 7.4%。2011 年居民平均就诊次数达 4.63 次。
图表 2 2007 年-2011 年我国医疗机构诊疗及入院人次比较
诚然,虽经历多年改革,我国医疗服务领域仍存在不少深层问题。如:机构众多但医疗资源分配布局
欠合理性,城乡差异较大;行业发展缓慢,缺乏高新技术的广泛应用推广;人均医疗服务供给偏低等等。
另外,此领域中不可忽视的民营医疗机构则持续表现出“数量多、规模小”的特点,以机制灵活的专科特色
门诊及卫生所居多,并普遍分布于经济较发达的地区。
这些现象的产生及存续,或源于我国人口基数大等现实情况的积累,或源于政策、体制的缺憾及执行
力度的薄弱。针对此类硬伤及发展短板,新医改也提出了相应的改革要求,既“扶弱”又“控强”,鼓励多元医
疗机构的并存发展。
在“扶弱”方面,加强基层医疗机构建设,鼓励加大开发非公医疗机构以及加快推进县级公立医院改革
试点,确保基层医疗机构的标准化建设力度,在信息化、医生及后备力量等方面进行保障。与此同时,放
宽社会资本举办医疗机构的准入范围,鼓励各方优秀资源进驻;而“控强”则表现在,针对公立医院、国有
2007年-2011年我国医疗机构诊疗及入院人次比较
35
55
63
58
33
1.53
1.42
0.98
1.15
1.32
0
10
20
30
40
50
60
70
2007 2008 2009 2010 2011
0
0.2
0.4
0.6
0.8
1
1.2
1.4
1.6
1.8
诊疗人次(亿人次) 入院人数(亿人次)
来源
:
中国统计年鉴,清科研究中心整理
2012.05 www.zero2ipo.com.cn
评论