
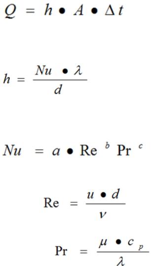
联立以上方程可求得换热系数计算式:
式中c
p
,λ,μ,ρ为空气参数,d为换热器结构参数,a,b,c为实验系数,需由实验
数据标定。
2、仿真建模
建立换热器换热单元模型:换热器换热单元模型由管内模型、管壁模型、翅片模
型组成。
图1 换热器换热单元模型
建立标定模型:打开标定模板,如图2,在标定模板中,系统已经预先把标定模型
写好并打包成模块,模块包含三个接口,分别为制冷剂进口、制冷剂出口、空气
进口。
图2 AMESim中换热器标定模板
建立换热器模型:将换热器的计算单元连接起来,将标定模块中制冷剂入口、制
冷剂出口、空气进口按空气实际分布连接到换热器模型各换热单元的换热管和
翅片模型上,得到换热器的完整的换热计算仿真模型。
评论