暂无图片
暂无图片
暂无图片
暂无图片
暂无图片
作业盒子调研报告.pdf.pdf
168
7页
1次
2021-12-28
免费下载
1
用做
SAAS的精神,打磨在线教育产品
——
作业盒子调研报告
报告要点:
宏观环境利好,推动在线教育产业化发展
国家倡导教育信息化,政策全面支持。教育改革将加大在线教
育产品市场需求。经济上国家会逐步加大对教育行业的支出,
在线教育未来发展潜力巨大。在国内应试教育情况下,培训市
场依然具有刚性需求。随着用户对在线教育接受度的提高,在
线教育移动端市场将继续扩大,竞争愈加激烈。技术上大数据
分析将优化教育市场的商业模式。2016年在线教育市场洗牌,
优胜劣汰。专注于优质在线教育产品才能实现差异化竞争。
作业场景切入,提供个性化教育
作业盒子打通闭环,实现校内校外一体化的完美场景。提供个
性化教育覆盖。作业盒子接管老师作业上游环节。从老师布置
作业到学生完成作业形成完整闭环。作业是高频的用户需求,
容易培养用户习惯,生成大量高密度,连续的数据。利用大数
据做精准题库服务,帮助老师因材施教,学生高效学习。
强大核心竞争力,打造商业壁垒
作业盒子题库量大,数据信息全部沉淀在作业盒子平台,数据
一旦固化下来,迁移难度很大。这成为作业盒子核心竞争力。
作业盒子领导团队的决策能力,资源调动能力,战略执行能力
很强。
帮助线下培训机构导流,促成线上精准课程
1)作业盒子将会与投资方好未来协同合作,资源互补。2)作
业盒子利用大数据,为学生构建知识图谱,根据知识图谱高效
匹配课程,实现个性化教学。3)作业盒子会开发直播课平台。
通过该平台对接优质老师和学生。并且根据学生用户需求实现
个性化教学。
36氪行业研究
都博宏
行业分析师
+86 13785167816
dubohong@36kr.com
近期调研报告
《大朋VR调研:再获重
量级伙伴,持续打造中
国版Oculus2016.1.4
《把把脉:价值链创新
重建,打造中医大健康
生态王国2016.1.8
36氪调研报告(第4期)—作业盒子
2016.1.11
请务必阅读文末的免责声明
在线教育/K12 题库
当前估值 5000万美元
最新融资 1000万美元
融资阶段 A
投资方
好未来、刘强
东、章泽天
联想之星
联合创始人
刘夜、王克、
贾晓明
注释:当前估值依据20157
融资进行估算,并基于36氪估值
模型进行校正
2
36氪调研报告(第4期)—作业盒子
2016.1.11
1. 宏观环境利好,推动在线教育产业化发展
政策
国家倡导教育信息化。随着信息与教育的全面深度融合,教育改革
将进一步推动在线教育发展。
多数地方小学将禁止统考统测。这一政策实施将会加大对作业市场
需求。
国家发展改革委修订《中小学教辅材料管理办法》实施“一科一辅
”政策。间接增加对在线教育产品的使用需求。
经济
目前中国教育行业投入占GDP的比值为5.3%左右,未来这一比值将
会小幅度增长。随着中国GDP的快速增长,我国教育整体支出有巨
大发展空间。
相对而言,在线教育产品在东南沿海经济发达地区活跃迅速,之后
逐渐渗透到内陆地区。
社会
学生人口基数大奠定教育市场产业规模化。目前我国K12阶段学生总
人数约1.6-1.8亿 2015年第一季度,中国K12在线教育市场活跃用
户规模达1280.13万人,仅占全国K12学生人数8%。在线教育未来
发展空间巨大。
目前K12教育市场主要以应试升学为结果导向。K12 培训市场具有
刚性需求。
随着用户使用移动端产品习惯加强,在线教育的移动端市场将继续
扩大。竞争愈加激烈。
技术
利用大数据精准分析学习行为,挖掘有价值信息;提高教学效率,
优化教育市场商业模式。
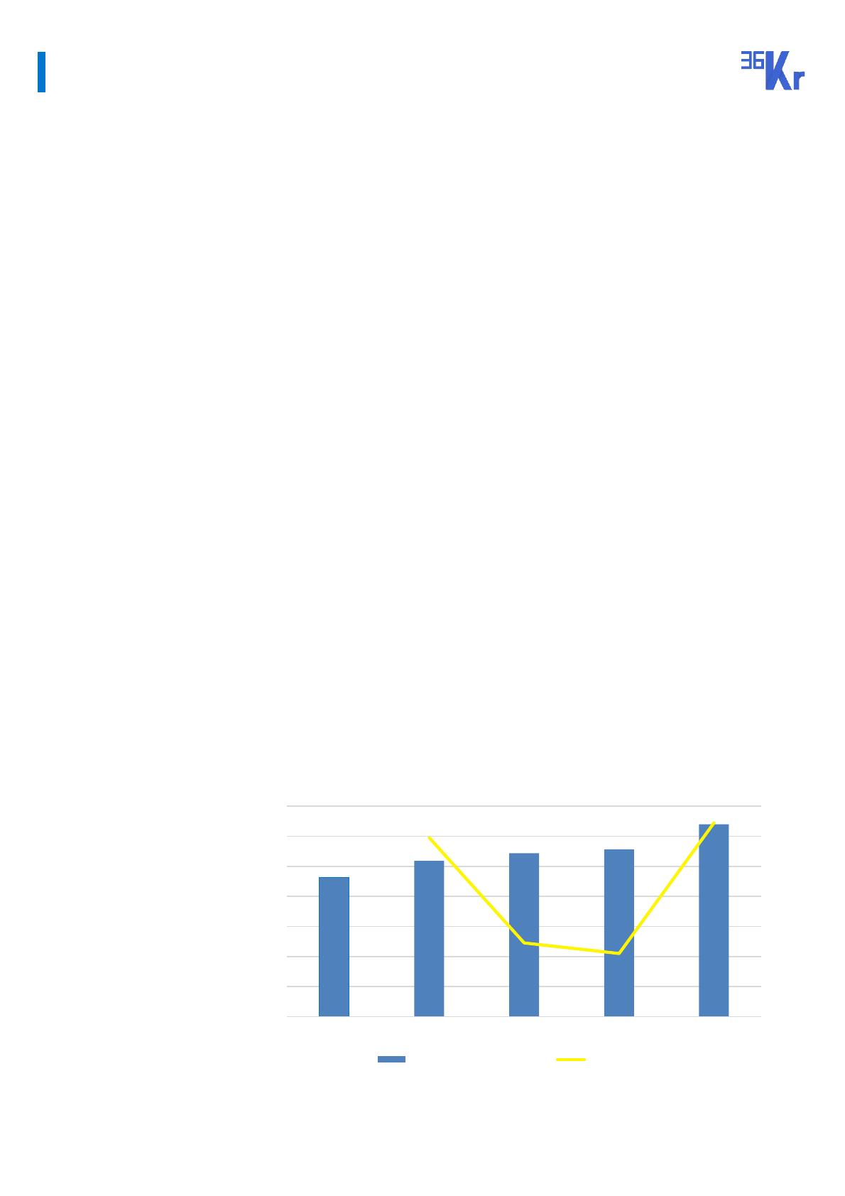
926.60
1037.01
1087.77
1113.75
1280.13
11.90%
4.90%
4.20%
12.90%
0%
2%
4%
6%
8%
10%
12%
14%
0.00
200.00
400.00
600.00
800.00
1000.00
1200.00
1400.00
2014Q1 2014Q2 2014Q3 2014Q3 2015Q1
2014Q1-2015Q1中国K12在线教育市场活跃用户规模
活跃用户规模(万人) 环比增长率
来源: 国家统计局、好未来、36氪研究院
of 7
免费下载
【版权声明】本文为墨天轮用户原创内容,转载时必须标注文档的来源(墨天轮),文档链接,文档作者等基本信息,否则作者和墨天轮有权追究责任。如果您发现墨天轮中有涉嫌抄袭或者侵权的内容,欢迎发送邮件至:contact@modb.pro进行举报,并提供相关证据,一经查实,墨天轮将立刻删除相关内容。

评论

关注
最新上传
暂无内容,敬请期待...
下载排行榜
Top250 周榜 月榜