暂无图片
暂无图片
暂无图片
暂无图片
暂无图片
数据库安全机制.doc
65
12页
1次
2022-09-21
5墨值下载
1.1
数据库安全机制
数据库安全机制是用于实现数据库的各种安全策略的功能集合,正是由这些安全机
来实现安全模型,进而实现保护数据库系统安全的目标。
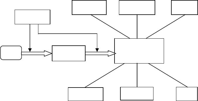
数据库系统的安全机制如图所示:
1.1.1 用户标识与鉴别
用户标识是指用户向系统出示自己的身份证明,最简单的方法是输入用户
ID
和密码。
标识机制用于惟一标志进入系统的每个用户的身份,因此必须保证标识的惟一性。鉴别
指系统检查验证用户的身份证明,用于检验用户身份的合法性。标识和鉴别功能保证了
有合法的用户才能存取系统中的资源。
由于数据库用户的安全等级是不同的,因此分配给他们的权限也是不一样的,数据
系统必须建立严格的用户认证机制。身份的标识和鉴别是
DBMS
对访问者授权的前提,并
且通过审计机制使
DBMS
保留追究用户行为责任的能力。功能完善的标识与鉴别机制也是
访问控制机制有效实施的基础,特别是在一个开放的多用户系统的网络环境中,识别与
别用户是构筑
DBMS
安全防线的第
1
个重要环节。
近年来一些实体认证的新技术在数据库系统集成中得到应用。目前,常用的方法有
行字认证、数字证书认证、智能卡认证和个人特征识别等。
通行字也称为“口令”或“密码”,它是一种根据已知事物验证身份的方法,也是一种最广
泛研究和使用的身份验证法。在数据库系统中往往对通行字采取一些控制措施,常见的
最小长度限制、次数限定、选择字符、有效期、双通行字和封锁用户系统等。一般还需
虑通行字的分配和管理,以及在计算机中的安全存储。通行字多以加密形式存储,攻击
要得到通行字,必须知道加密算法和密钥。算法可能是公开的,但密钥应该是秘密的。
有的系统存储通行字的单向
Hash
值,攻击者即使得到密文也难以推出通行字的明文。
数字证书是认证中心颁发并进行数字签名的数字凭证,它实现实体身份的鉴别与认
信息完整性验证、机密性和不可否认性等安全服务。数字证书可用来证明实体所宣称的
份与其持有的公钥的匹配关系,使得实体的身份与证书中的公钥相互绑定。
智能卡(有源卡、
IC
卡或
Smart
卡)作为个人所有物,可以用来验证个人身份,典
触发
数据库服务
(RDBMS)
授权机制 约束机制
审计
作系统
用户
身份验证
存储过
智能要由微处存储输入输出、安成。在智
卡中了认证的认证是智能卡和应端之过相应的认证相互
法性。在卡和备之有相互认能进行数据的读写,目的在于防
应用终端及相应的智能卡。
根据权用户的个人特征来进是一种可信度更高的验证方法,目前已得到应
用的特征语音
voice- print
)、
DNA
型等。
1.1.2 访问控制
1.1.2.1
概述
访问控制的目的是保用户对数据库只能进过授权的有关。在存取控制机制
中,访问的源称用户进行源访的进事务实体
为“体”。
DAC
Discretionary Access Control
MAC
Mandatory Access Control
RBAC
Role-based Access
Control
,基于角色的存取控制)得到了广泛的关
1.1.2.2
数据访问级别和
DBMS
中的安全系统必须伸缩性以便为各种数据级别授权。数据级别有以下几
整个数据库、单个关系(所有行和所)、关系特定所有行)、关
特定行(所有)以及关系的特定行和特定
数据的所有访问模式和型如
入或建立。在文加数据,不销毁数据。
取。用户可通过应用程序或数据库查数据数据库制到用户环境。
新。编写更新值。
删除删除销毁特定数据库对
移动移动数据对,但内容的权限。
行。使用行需要的权限,程序或过
认存在性。认数据库是否存在特定数据库对
1.1.2.3
控制(
DAC
采用该方法以若干式授各个用户访问特定数据的权限或权力。基于权限
,用户能新、访问数。建立数据库用户
得到此对的所有访问权限,包括将此对的权限他人。
在授撤消访问权限,有要级别:
数据库对:数据或数据元素,一般是基本表
用户:可以用一些授权标识符识别的单个用户或用户
授权通常是在这种级别进行。
1.
授权
DBMS
了功授权机制,它可以给用户授各种不同、存
储过等)的不同使用权限(如
Select
update
insert
delete
等)。
在用户级别,可以据库模式和数授权建和
除索新关系、加或删除关系中的系、数据新数据、
数据、删除数据等。
of 12
5墨值下载
【版权声明】本文为墨天轮用户原创内容,转载时必须标注文档的来源(墨天轮),文档链接,文档作者等基本信息,否则作者和墨天轮有权追究责任。如果您发现墨天轮中有涉嫌抄袭或者侵权的内容,欢迎发送邮件至:contact@modb.pro进行举报,并提供相关证据,一经查实,墨天轮将立刻删除相关内容。

评论

关注
最新上传
暂无内容,敬请期待...
下载排行榜
Top250 周榜 月榜