推断统计分析:
抽样分布:从已知的总体中以一定的样本容量进行随机抽样,由样本的统计数所对应的概率分布称为抽样分布。抽样分布是统计推断的理论基础。
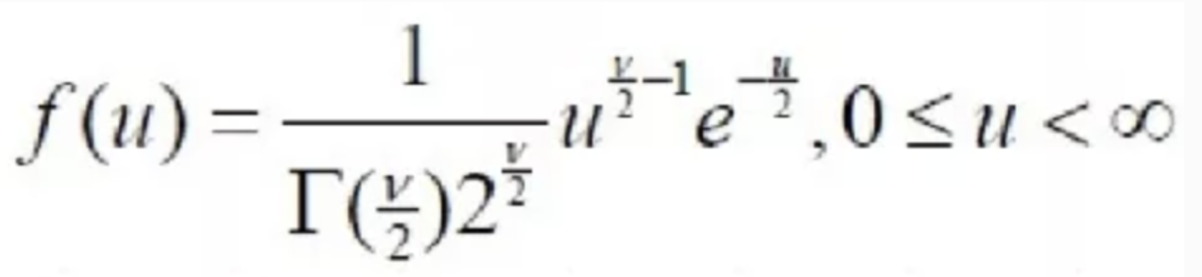
一、卡方分布
若n个相互独立的随机变量ξ₁、ξ₂、……、ξn,均服从标准正态分布(也称独立同分布于标准正态分布),则这n个服从标准正态分布的随机变量的平方和构成一新的随机变量,其分布规律称为卡方分布(chi-square distribution)。

随着卡方分布样本容量的增加,卡方分布的概率密度曲线趋于对称。当样本容量n -> +∞的时候,卡方分布 -> 正态分布,即卡方分布的极限分布就是正态分布。
x = np.linspace(0, 100, 100000)
for i in range(10, 51, 10):
y = stats.chi2.pdf(x, df=i)
plt.plot(x, y, label='n={}'.format(i))
plt.title('卡方分布随样本容量增加的变化关系图')
plt.legend()
plt.show()

随着样本容量的增加,卡方分布的概率密度曲线趋于对称。样本容量越趋近于+∞,卡方分布越趋近于正态分布。
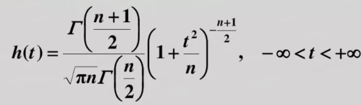
二、T分布
设X1服从标准正态分布N(0,1),X2服从自由度为n的χ2分布,且X1、X2相互独立,则称变量t=X1(X2/n)1/2所服从的分布为自由度为n的T分布。

t分布的概率密度函数和正态分布的概率密度函数都是偶函数(左右对称的)。t分布随着样本容量的增加,就越来越接近正态分布,即t分布的极限分布也是正态分布。
当样本容量在 30-35之间时,t分布与标准正态分布难以区分
当样本容量达到120时,t分布与标准正态分布实际上完全相同了
x = np.linspace(-3, 3, 100)
plt.plot(x, t.pdf(x, 1), label='df=1')
plt.plot(x, t.pdf(x, 30), label='df=2')
plt.plot(x, t.pdf(x, 120), label='df=120')
plt.plot(x[::5], norm.pdf(x[::5]), 'kx', label='normal')
plt.legend()
plt.title('t分布随样本容量增加的变化关系图')
plt.show()

t分布一直是对称的,随着样本容量的增加,越来越趋近于正态分布,当样本容量到30时,t分布与标准正态分布难以区分,当样本容量达到120时,t分布与标准正态分布实际上完全相同了。
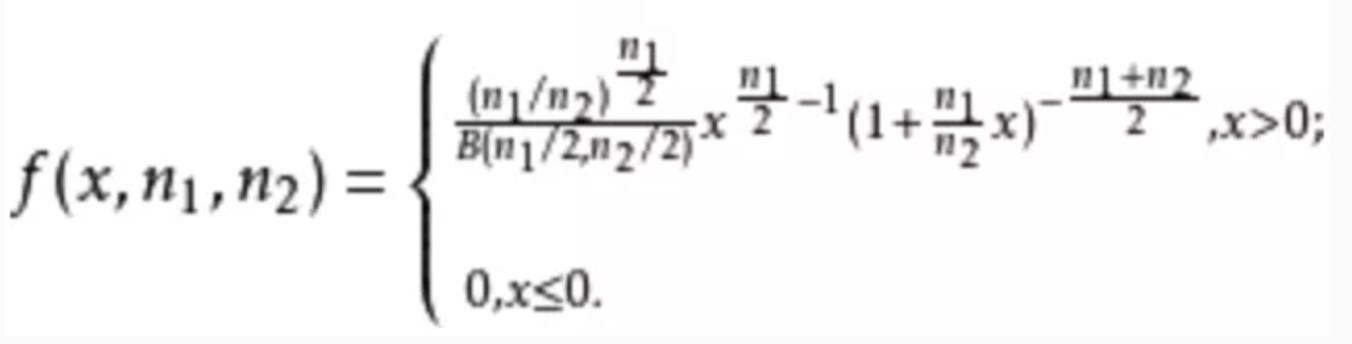
三、F分布
设X1服从自由度为m的χ2分布,X2服从自由度为n的χ2分布,且X1、X2相互独立,则称变量F=(X1/m)/(X2/n)所服从的分布为F分布,其中第一自由度为m,第二自由度为n。

x = np.linspace(-1, 8, 100000)
plt.plot(x, stats.f.pdf(x, 1, 10), label='m=1, n=10')
plt.plot(x, stats.f.pdf(x, 5, 10), label='m=5, n=10')
plt.plot(x, stats.f.pdf(x, 100, 10), label='m=10, n=10')
plt.ylim(0, 1)
plt.title('F分布的概率密度函数')
plt.legend()
plt.show()

F分布是不对称的,随着样本容量的增加,图形并不会趋近于正态分布。
最后修改时间:2020-07-08 17:55:38
「喜欢这篇文章,您的关注和赞赏是给作者最好的鼓励」
关注作者
【版权声明】本文为墨天轮用户原创内容,转载时必须标注文章的来源(墨天轮),文章链接,文章作者等基本信息,否则作者和墨天轮有权追究责任。如果您发现墨天轮中有涉嫌抄袭或者侵权的内容,欢迎发送邮件至:contact@modb.pro进行举报,并提供相关证据,一经查实,墨天轮将立刻删除相关内容。




